










A mastery of tactics is essential to a competitive chess player and Lev Psakhis is ideally qualified to show the way. In Advanced Chess Tactics Psakhis showcases many beautiful attacking games to make his points. Psakhis has the ability to explain deep analysis while also offering simple yet wise tips gleaned from his lifetime of experience.
Psakhis's witty style shines on every page of this profound yet accessible work, which will entertain as it instructs. Psakhis helps the reader understand a complex subject by splitting it into separate themes by opening or pawn structure. Many puzzle positions are included so the reader is fully involved.
Lev Psakhis is an Israeli grandmaster. He was born in Russia and twice won the immensely strong Soviet Championship before moving to Israel where he has also been national champion twice. Psakhis is a renowned coach who has worked with many famous players including Garry Kasparov and the Polgar sisters.
ISBN 978-1-907982-04-0 - 368 pages - Published 11 November 2011
"By adding Psakhis to their list of authors Quality Chess has made another excellent move, as in Advanced Chess Tactics the Israeli GM has succeeded perfectly in putting his gigantic experience and knowledge down on paper.
My positive view of the book is partly due to Psakhis' breezy writing style. Many (educational) books on the chess market present their content in a dry way, giving just variations and advice. Psakhis certainly can't be accused of that.
Undoubtedly his younger students have benefited from their cooperation with this living chess legend and I expect a lot of people will profit from reading Advanced Chess Tactics. The material on offer has been carefully selected and checked by the engines. Of no less importance is that Psakhis' enthusiasm and instructive comments make sure this book will be a source of inspiration in your future games. An absolute must for anyone who's aiming to improve his tactical abilities in a structured manner!"
IM Robert Ris, ChessVibes
"The games are brilliantly annotated, and as you'd expect the notes get more thorough as the games get more complicated. No doubt Psakhis checked his work with an engine, but they are the comments and notes of a very strong practical player with an eye for the beautiful."
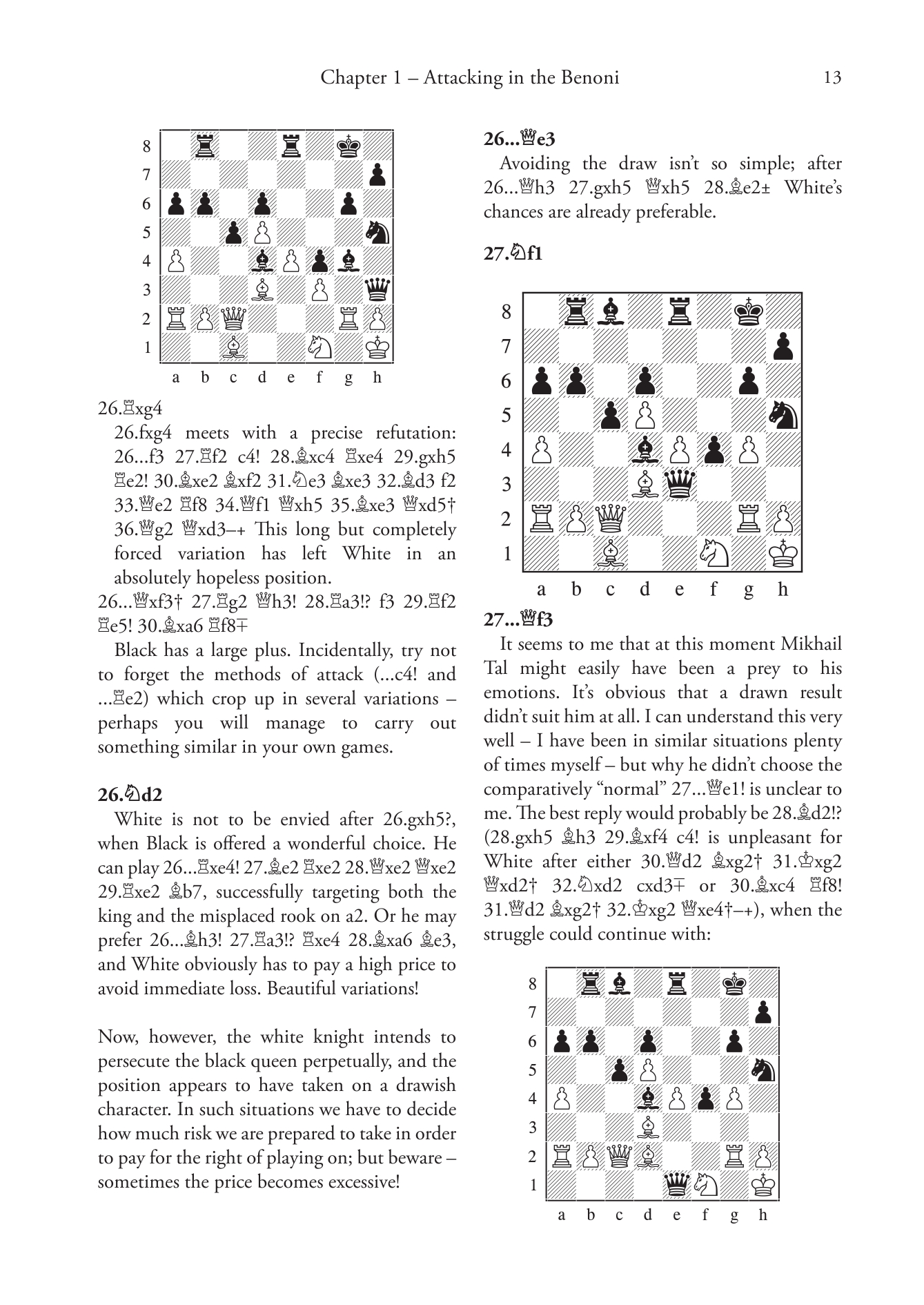
"Psakhis writes with great enthusiasm, as someone who clearly loves the game and enjoys playing, analyzing and the people with whom he shares the profession. I found his enthusiasm infectious."
Dennis Monokroussos, Chess Today
Nikt jeszcze nie napisał recenzji do tego produktu. Bądź pierwszy i napisz recenzję.
Tylko zarejestrowani klienci mogą pisać recenzje do produktów. Jeżeli posiadasz konto w naszym sklepie zaloguj się na nie, jeżeli nie załóż bezpłatne konto i napisz recenzję.
Czas wysyłki:Natychmiast
Koszt wysyłki:od 10,00 zł
Numer katalogowy:9781907982040
Kod EAN:9781907982040
Waga:0,56 kg
Producent:Wydawnictwo Quality Chess

Szachy od wieków fascynują ludzi na całym świecie. Choć wielu osobom wydaje się, że to gra tylko dla mistrzów i geniuszy, prawda jest zupełnie inna. Każdy może nauczyć się grać w szachy, a pierwsze kroki są znacznie prostsze, niż się wydaje. ♟️
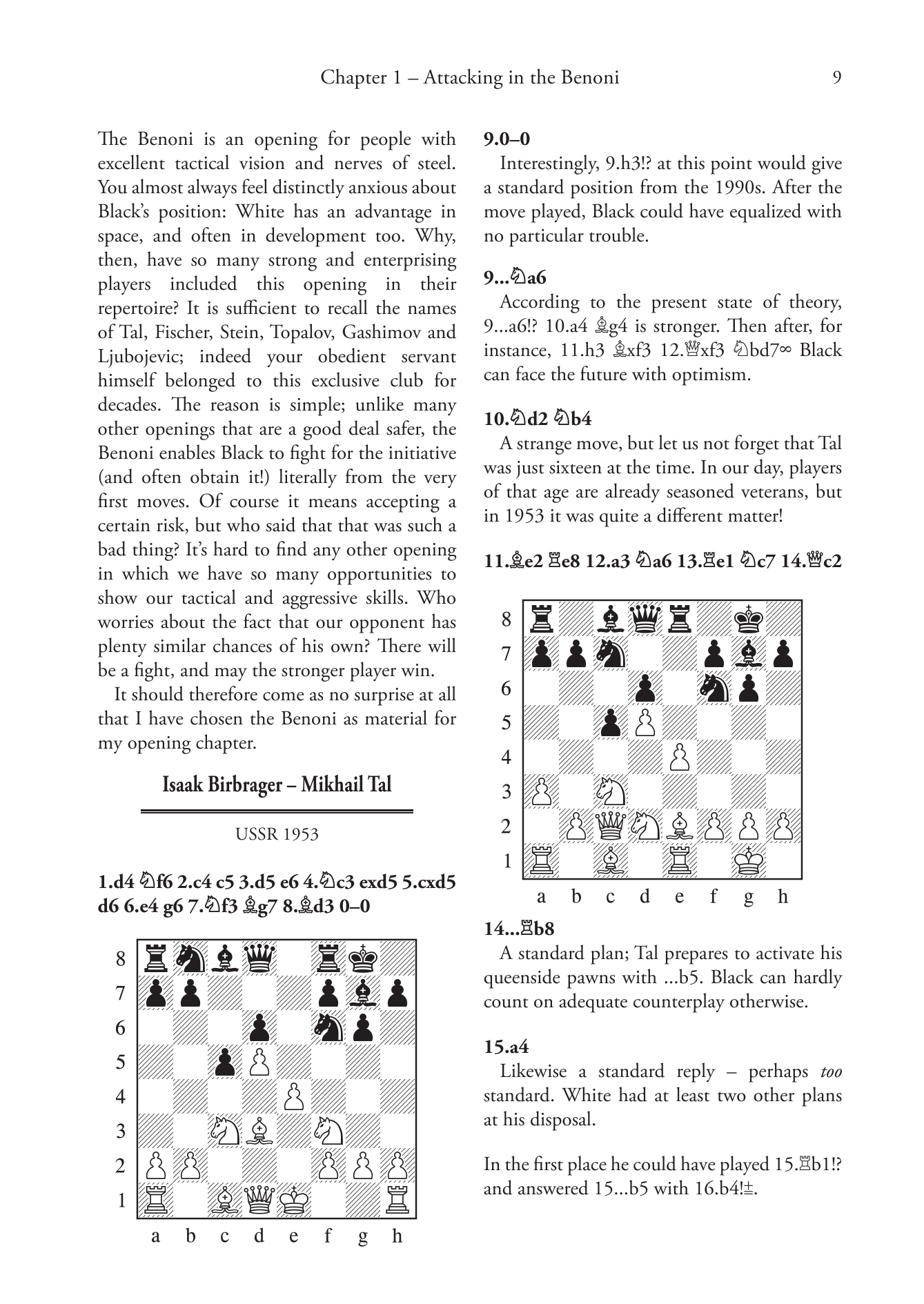
Jak przygotować się do turnieju szachowego?♟️ Kulisy gry, której nie widać na szachownicy ✨
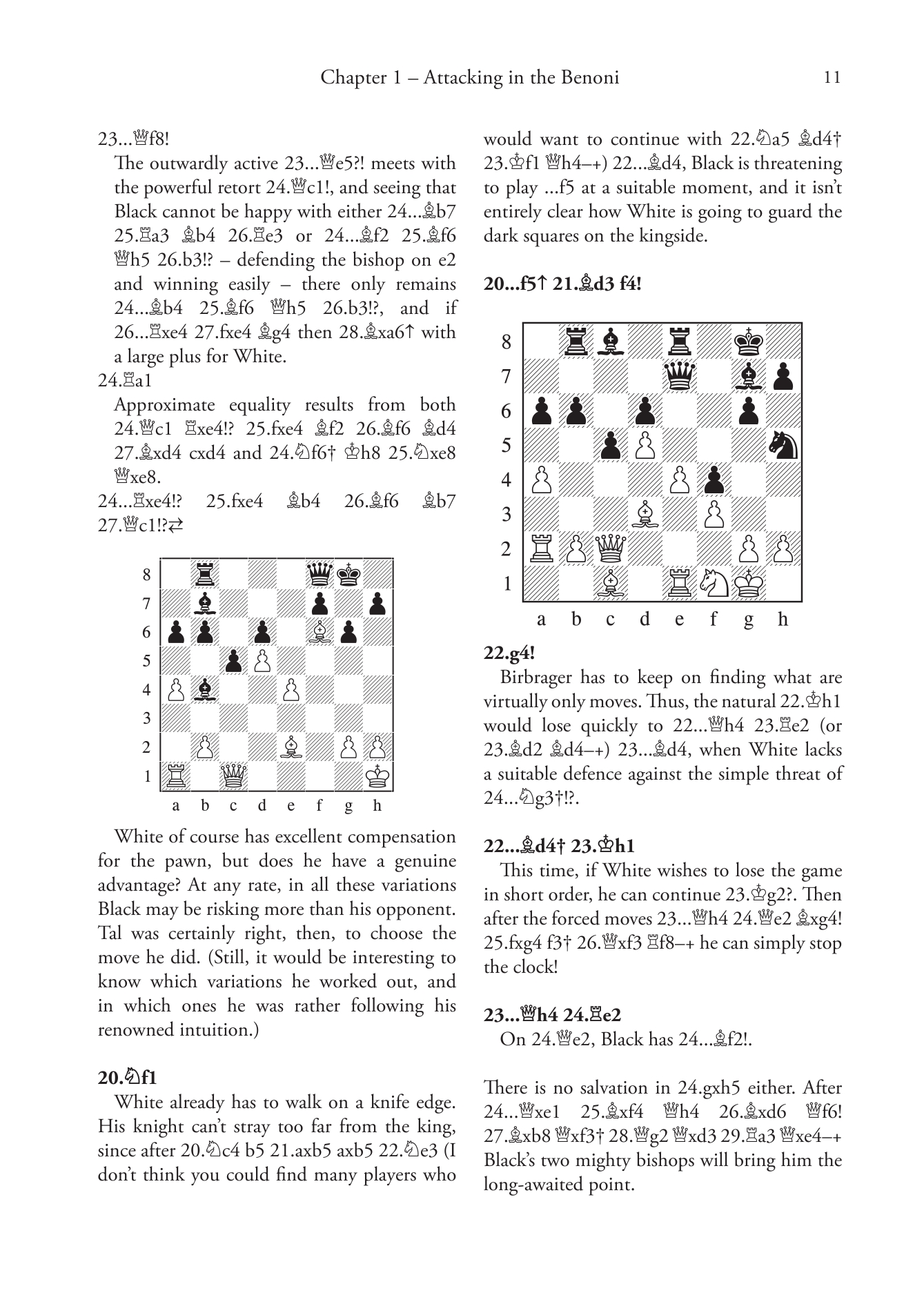
Udział w turniejach szachowych to nie tylko sprawdzian umiejętności, ale i prawdziwa przygoda – emocjonalna, intelektualna i organizacyjna. Jeśli planujesz zadebiutować lub wracasz na szachowe areny, warto wiedzieć, jak się przygotować i co naprawdę dzieje się za kulisami takich wydarzeń.
