










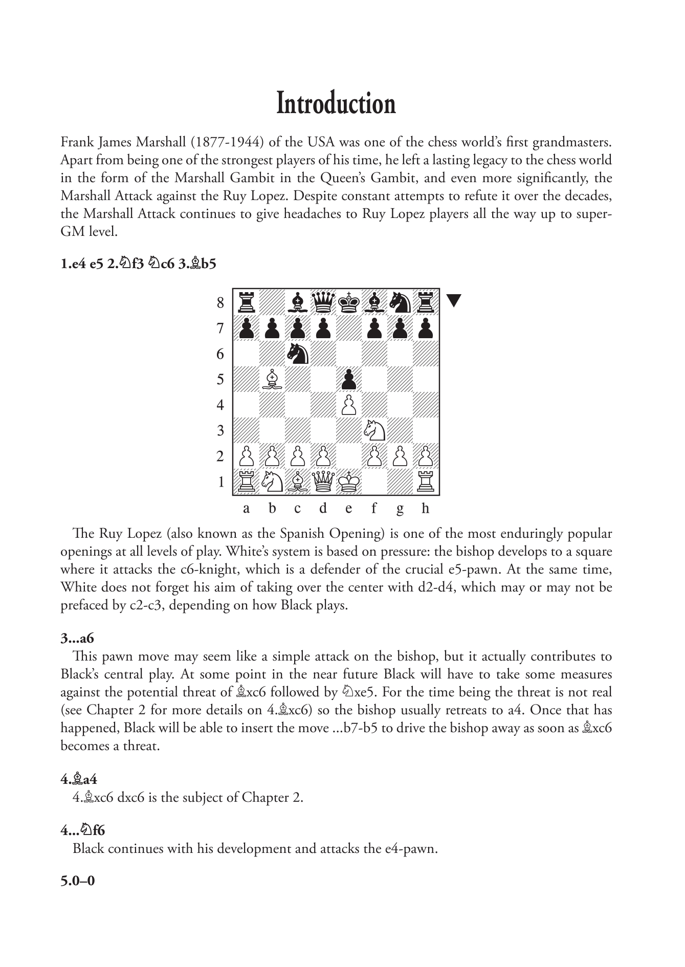
The Alterman Gambit Guide: Black Gambits 2 is an instructional manual for improving chess players. Sharpen your tactics and learn to play dynamic attacking chess while studying the most entertaining gambits. This volume deals with various openings after 1.e4 e5, and lines covered include: Marshall Attack, Traxler variation, Frankenstein-Dracula variation, Falkbeer Counter-Gambit and more.
GM Boris Alterman founded the Shevah-Mofet Chess Academy in Israel. Alterman is a product of the Botvinnik-Kasparov chess school and he also helped to develop the Deep Junior program which famously drew a match with Kasparov and defeated both Radjabov and Deep Fritz.
ISBN 978-1-906552-96-1 - 376 pages - Published 16 April 2012
"The pleasant alternation between thoroughly explained ideas and spectacular variations makes the content accessible to a wide audience (I suppose 1600 rated players as well as grandmasters will acquire new information when going through the book)...
Alterman pays a lot of attention to the practical value of his suggested opening lines. I'm sure the readers will feel inspired after a thorough examination of this book!"
IM Robert Ris, ChessVibes
"This book gives you a feel for how to play these openings; how to play them well and what is important. It is not a manual in the sense that everything is covered. I truly enjoyed reading this volume, even more so than the others in this series. There is a tremendous amount of chess understanding to be gleaned from this and its companions. Themes such as positional compensation, initiative, active piece play, dynamic counterplay and more will become familiar parts of your chess vocabulary and you will inevitably become a stronger player in the process. This is a great way to conclude this series."
Carsten Hansen, ChessCafe (full review)
Alterman's book is truly original, not only in the choice of opening suggestions, but especially for the teaching approach proposed. It is indeed a very weighty volume in terms of content, but the reading and study flow fast and agile. Every system is introduced according to the tried and tested schema of illustrative games, with concepts and ideas clearly and effectively explained [...] in an enlightening and easy conversational style. A particularly attractive and useful addition is the summary of a few simple, clear and easy-to-remember points to learn from each game commentary ... who could ask for more?!?
Martin Eden, SoloScacchi (full review in Italian)
Nikt jeszcze nie napisał recenzji do tego produktu. Bądź pierwszy i napisz recenzję.
Tylko zarejestrowani klienci mogą pisać recenzje do produktów. Jeżeli posiadasz konto w naszym sklepie zaloguj się na nie, jeżeli nie załóż bezpłatne konto i napisz recenzję.
Czas wysyłki:Natychmiast
Koszt wysyłki:od 10,00 zł
Numer katalogowy:9781906552961
Kod EAN:9781906552961
Waga:0,65 kg
Producent:Wydawnictwo Quality Chess
4 osoby kupiły 4 produkty

Szachy od wieków fascynują ludzi na całym świecie. Choć wielu osobom wydaje się, że to gra tylko dla mistrzów i geniuszy, prawda jest zupełnie inna. Każdy może nauczyć się grać w szachy, a pierwsze kroki są znacznie prostsze, niż się wydaje. ♟️
Jak przygotować się do turnieju szachowego?♟️ Kulisy gry, której nie widać na szachownicy ✨
Udział w turniejach szachowych to nie tylko sprawdzian umiejętności, ale i prawdziwa przygoda – emocjonalna, intelektualna i organizacyjna. Jeśli planujesz zadebiutować lub wracasz na szachowe areny, warto wiedzieć, jak się przygotować i co naprawdę dzieje się za kulisami takich wydarzeń.
