










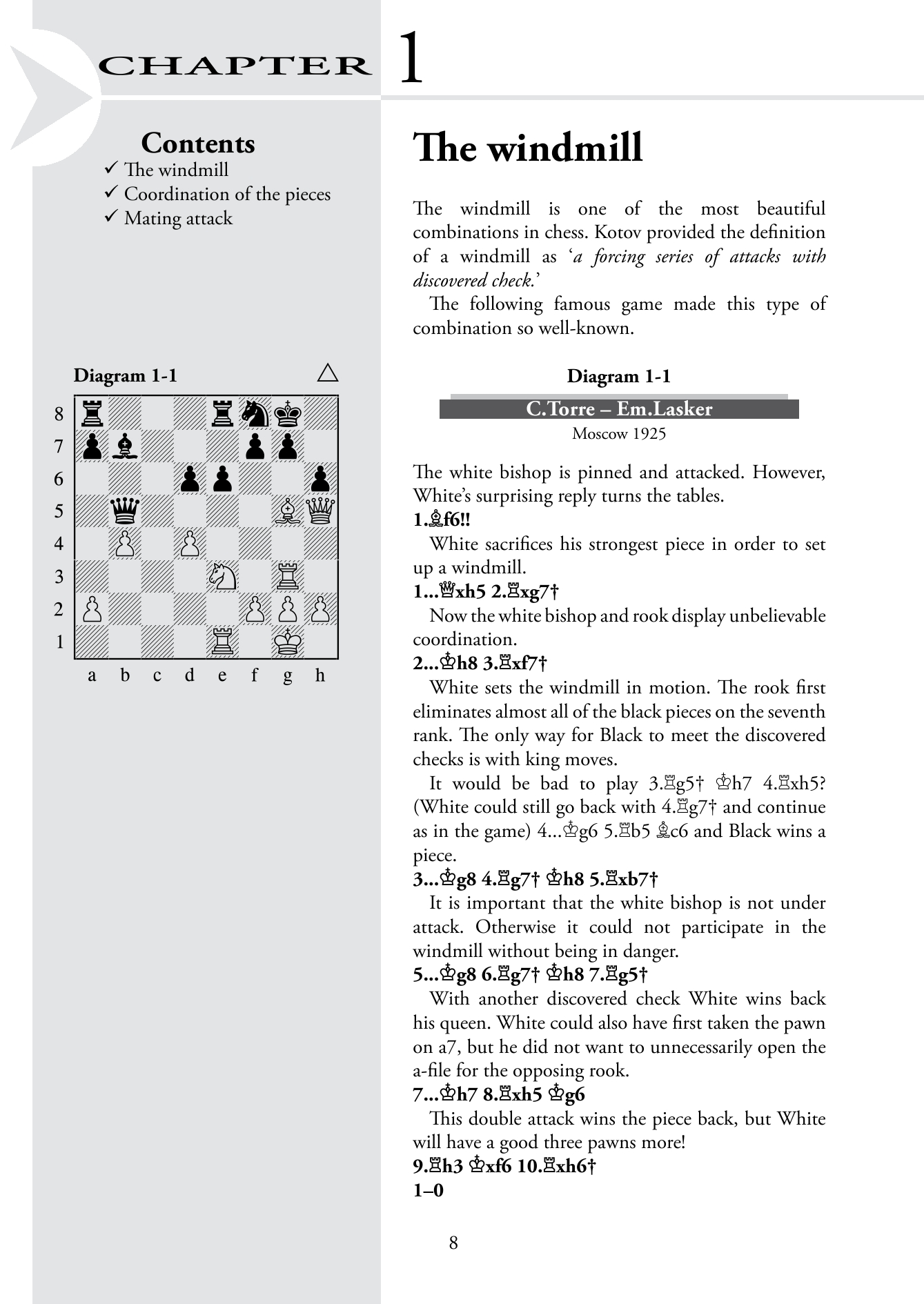
BOOST YOUR CHESS 1 continues Artur Yusupov’s Fundamentals series, helping players to build their skills on solid foundations. Yusupov guides the reader towards a higher level of chess understanding using carefully selected positions and advice. This new understanding is then tested by a series of puzzles.
Follow this link for more detailed information on Yusupov's award-winning training course.
Artur Yusupov was ranked No. 3 in the world from 1986 to 1992, just behind the legendary Karpov and Kasparov. He has won everything there is to win in chess except for the World Championship. In recent years he has mainly worked as a chess trainer with players ranging from current World Champion Anand to local amateurs in Germany, where he resides.
Winner of the 2009 Boleslavsky Medal from FIDE (the World Chess Federation) as the best instructional chess books in the world (ahead of Garry Kasparov and Mark Dvoretsky in 2nd and 3rd place).
ISBN: 9781906552404 - 268 pages - Published 27 January 2010
"The Build Up Your Chess series won the 2009 Boleslavsky Medal from FIDE as the best instructional chess books in which the instructional values were shown to be remarkable. Placing second and third in the voting were books from Garry Kasparov and Mark Dvoretsky. The Boost Your Chess series continues this successful format and deserves to win a spot on your bookshelf."
Michael McGuerty, ChessCafe
"Artur Yusupov was a very strong Grandmaster in his prime. Back in 1989 he was ranked third in the world and narrowly missed defeating Anatoly Karpov when the latter was still near the peak of his legendary powers. These days Yusupov doesn't play so much preferring to spend his time teaching and writing. The latter may well be where the Russian-German GM makes his most lasting contribution...
Each chapter starts with the introduction of a theme followed by progressively more difficult examples and finally exercises to solve with detailed solutions. Such an approach has been seen before but never done as well.
One might ask why it is necessary to have such a high rated Grandmaster write a book for less-advanced players? The answer is that Yusupov offers the rare combination of tremendous chess knowledge and the ability and desire to share it. Boost Your Chess 1: The Fundamentals is not a random collection of positions tossed together but carefully chosen ones that methodically build the student's knowledge from exercise to exercise. Highly Recommended"
IM John Donaldson
"Quality Chess has a reputation for beautiful and unique books such as San Luis 2005 and more recently Genius in the Background ... But now they have a real workout book: Artur Yusupov's Boost Your Chess 1... an ideal self-study book for any aspiring club player."
Bab Wilders, Nederlands Dagblad
Nikt jeszcze nie napisał recenzji do tego produktu. Bądź pierwszy i napisz recenzję.
Tylko zarejestrowani klienci mogą pisać recenzje do produktów. Jeżeli posiadasz konto w naszym sklepie zaloguj się na nie, jeżeli nie załóż bezpłatne konto i napisz recenzję.
Czas wysyłki:Natychmiast
Koszt wysyłki:od 10,00 zł
Numer katalogowy:9781906552404
Kod EAN:9781906552404
Waga:0,53 kg
Producent:Wydawnictwo Quality Chess
62 osoby kupiły 62 produkty

Szachy od wieków fascynują ludzi na całym świecie. Choć wielu osobom wydaje się, że to gra tylko dla mistrzów i geniuszy, prawda jest zupełnie inna. Każdy może nauczyć się grać w szachy, a pierwsze kroki są znacznie prostsze, niż się wydaje. ♟️
Jak przygotować się do turnieju szachowego?♟️ Kulisy gry, której nie widać na szachownicy ✨
Udział w turniejach szachowych to nie tylko sprawdzian umiejętności, ale i prawdziwa przygoda – emocjonalna, intelektualna i organizacyjna. Jeśli planujesz zadebiutować lub wracasz na szachowe areny, warto wiedzieć, jak się przygotować i co naprawdę dzieje się za kulisami takich wydarzeń.
