



















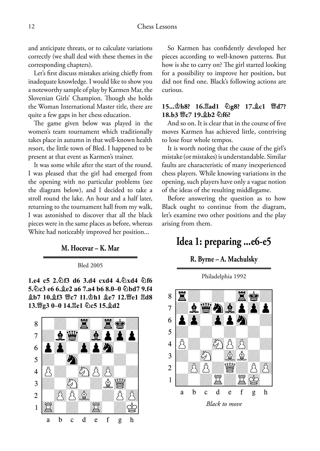
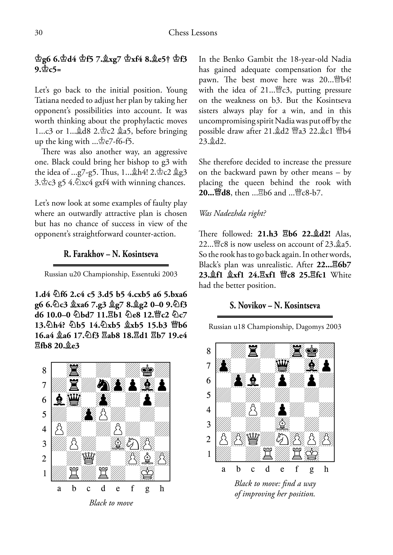
Vladimir Popov is a distinguished Russian chess coach who has guided his two most celebrated pupils, the Kosintseva sisters, into the Top 10 of women’s chess. In Chess Lessons Popov shares his secrets of chess improvement.
Chess is of course a complex game, but Popov has the ability as a coach and author to offer clear principles to help the reader achieve a deeper understanding of chess.
A top Russian chess coach shares his secrets of chess improvement.
ISBN 978-1-906552-83-1 - 256 pages - Published 8 April 2011
"In the Russian school of chess (the English school of chess is more difficult to define unless holding weekend tournaments in educational establishments counts) such accidents would be carefully eliminated with rigorous training programmes, and this technique is detailed in a book entitled Chess Lessons by Vladimir Popov. The author follows several of his pupils, the best-known of whom are the Kosintseva sisters, currently ranked numbers four and five on the female rating list, showing the training positions on which he has tested them and relevant fragments from their games. This kind of book can be rather heavy going, but this interplay has a certain charm and is cheering when his students make plenty of mistakes as well."
GM Michael Adams, The Telegraph
"Working through the many examples in each chapter will provide the reader with a good understanding of the topic at hand, and the end-of-chapter problems will likely present a challenging test for most readers.
I would suggest that this book is especially suitable for players roughly in the 1600-2000 range, although I suspect that higher-rated players will benefit as well, touching up their weak spots."
Steve Goldberg, ChessCafe (full review)
"Another inspiring book is Vladimir Popov's Chess Lessons... a typical high-quality chess improvement book... Most of the games in this book were unknown to me (refreshingly, many are taken from top women's games) and the commentary contains enough food for thought to rethink your our faults and shortcomings. For instance, the 'too much calculation' phenomenon seems to me typical of a particular group of club players who are very good at calculation but have little notion of strategic concepts. If only they would all read this book!"
Arne Moll, ChessVibes
"The generic title Chess Lessons doesn't do justice to this book. Popov gave up playing in his twenties to devote his life to developing young talent and he has given a lot of thought how best do this... Chess Lessons is an excellent book that will prove helpful for not only the examples it offers but the ways it teaches one how to look at the game. Highly recommended for players from 1800 on up."
IM John Donaldson
"Judging the book purely by the title, is would be easy to think that was just another easy primer for inexperienced players. However, the more I read, the more I realized that the quality of material on offer was of a very high calibre... It's a very interesting book and definitely a cut above standard instructional work. It is reminiscent of some of GM Dvoretsky's books in some respects, albeit in a more accessible way."
Sean Marsh, Marsh Towers (full review)
Nikt jeszcze nie napisał recenzji do tego produktu. Bądź pierwszy i napisz recenzję.
Tylko zarejestrowani klienci mogą pisać recenzje do produktów. Jeżeli posiadasz konto w naszym sklepie zaloguj się na nie, jeżeli nie załóż bezpłatne konto i napisz recenzję.
Czas wysyłki:Jeszcze dziś !
Koszt wysyłki:od 10,00 zł
Numer katalogowy:9781906552831
Kod EAN:9781906552831
Waga:0,60 kg
Producent:Wydawnictwo Quality Chess
1 osoba kupiła 1 produkt

Szachy od wieków fascynują ludzi na całym świecie. Choć wielu osobom wydaje się, że to gra tylko dla mistrzów i geniuszy, prawda jest zupełnie inna. Każdy może nauczyć się grać w szachy, a pierwsze kroki są znacznie prostsze, niż się wydaje. ♟️
Jak przygotować się do turnieju szachowego?♟️ Kulisy gry, której nie widać na szachownicy ✨
Udział w turniejach szachowych to nie tylko sprawdzian umiejętności, ale i prawdziwa przygoda – emocjonalna, intelektualna i organizacyjna. Jeśli planujesz zadebiutować lub wracasz na szachowe areny, warto wiedzieć, jak się przygotować i co naprawdę dzieje się za kulisami takich wydarzeń.
