






Chess Praxis is a superb collection of Aron Nimzowitsch’s best games annotated by the great man himself, but it is even more than that. Nimzowitsch and his hypermodern ideas had a huge influence on modern chess thinking. Nimzowitsch first expounded his views in My System. In his follow-up Chess Praxis he demonstrated and explained how his concepts worked in his own games.
This is a completely new translation of Nimzowitsch’s classic work, which will allow the reader to appreciate influential ideas explained in modern language.
Aron Nimzowitsch was one of the greatest chess players of the 1920s and 1930s, ranked just behind the famous World Champions Alekhine and Capablanca. His reputation as an author is higher still.
ISBN: 978-9185779000 - 224 pages - 15 July 2007
“A new translation of Die Praxis Meines System is to be welcomed... A postscript by Jacob Aagaard and John Shaw enhances this definitive version”
Bernard Cafferty, British Chess Magazine (full review)
Nikt jeszcze nie napisał recenzji do tego produktu. Bądź pierwszy i napisz recenzję.
Tylko zarejestrowani klienci mogą pisać recenzje do produktów. Jeżeli posiadasz konto w naszym sklepie zaloguj się na nie, jeżeli nie załóż bezpłatne konto i napisz recenzję.
Czas wysyłki:Natychmiast
Koszt wysyłki:od 10,00 zł
Numer katalogowy:9789185779000
Kod EAN:9789185779000
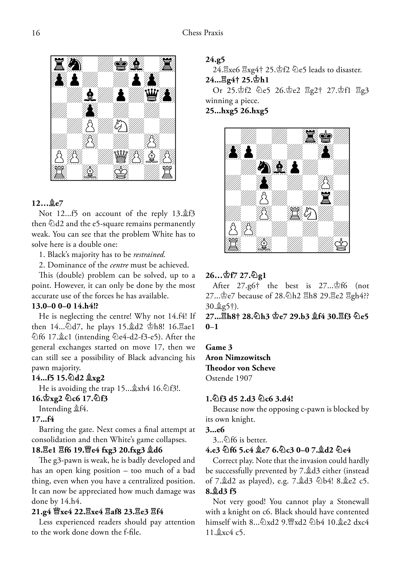
Waga:0,38 kg
Producent:Wydawnictwo Quality Chess
6 osób kupiło 6 produktów

Szachy od wieków fascynują ludzi na całym świecie. Choć wielu osobom wydaje się, że to gra tylko dla mistrzów i geniuszy, prawda jest zupełnie inna. Każdy może nauczyć się grać w szachy, a pierwsze kroki są znacznie prostsze, niż się wydaje. ♟️
Jak przygotować się do turnieju szachowego?♟️ Kulisy gry, której nie widać na szachownicy ✨
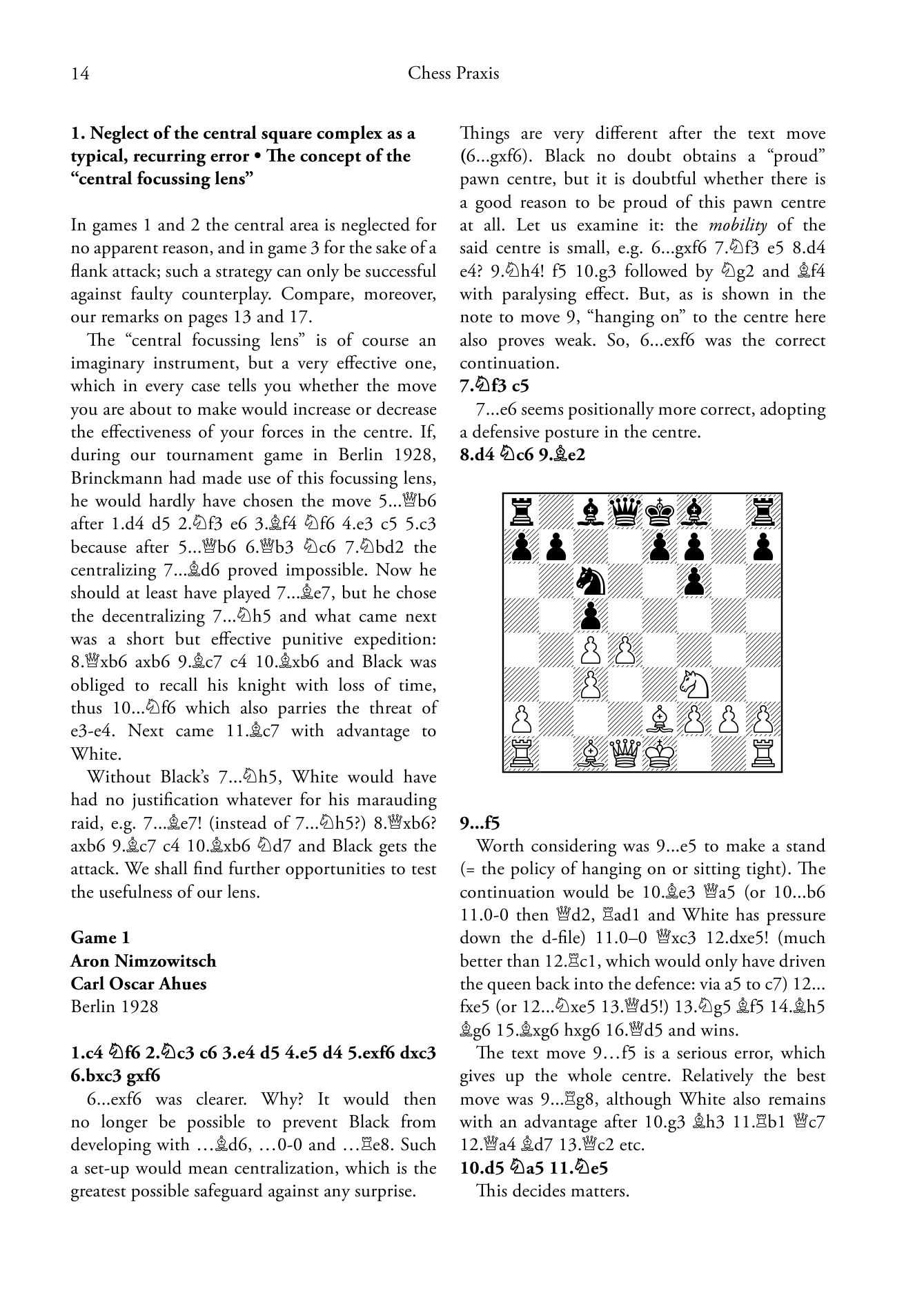
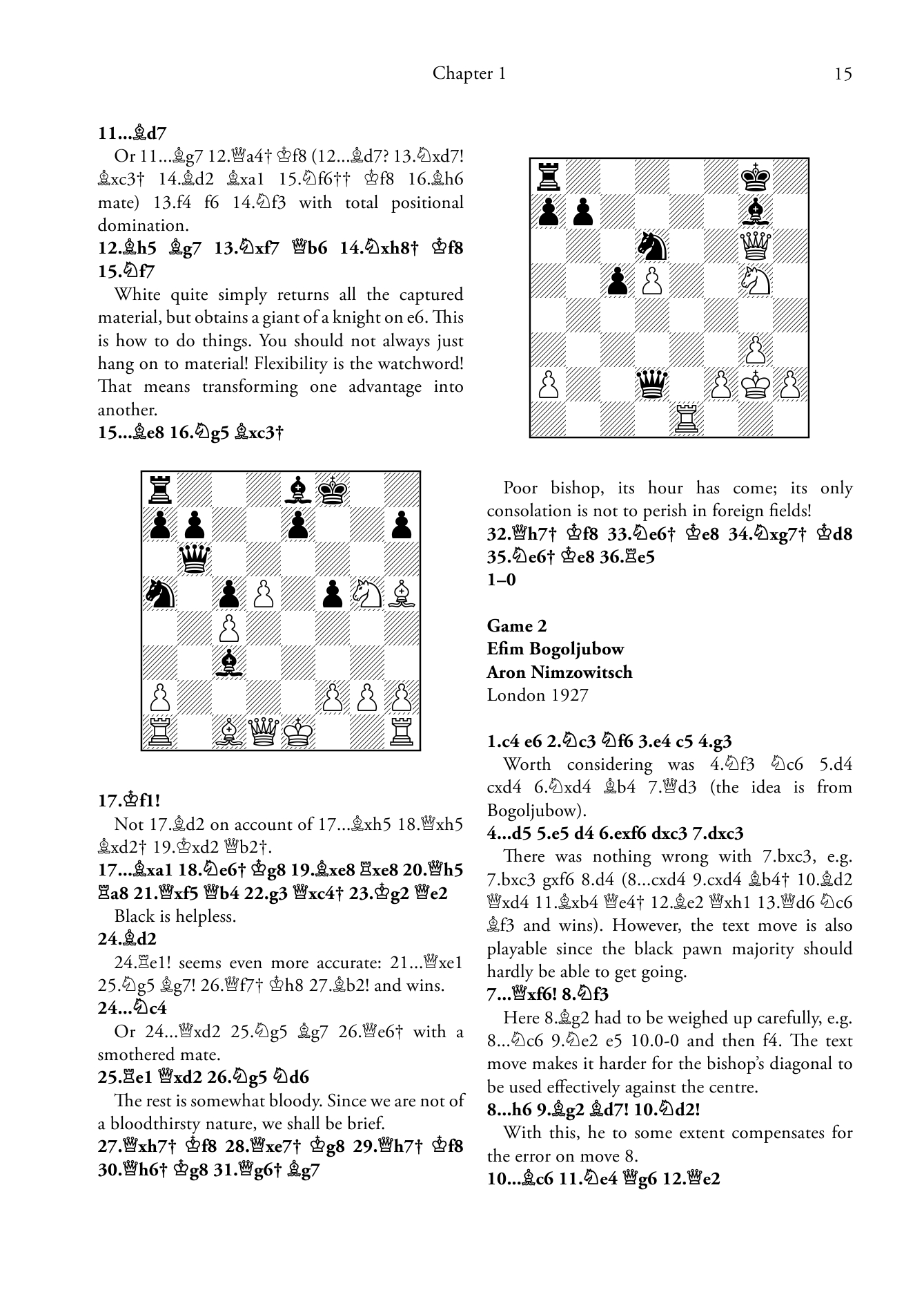
Udział w turniejach szachowych to nie tylko sprawdzian umiejętności, ale i prawdziwa przygoda – emocjonalna, intelektualna i organizacyjna. Jeśli planujesz zadebiutować lub wracasz na szachowe areny, warto wiedzieć, jak się przygotować i co naprawdę dzieje się za kulisami takich wydarzeń.
