



















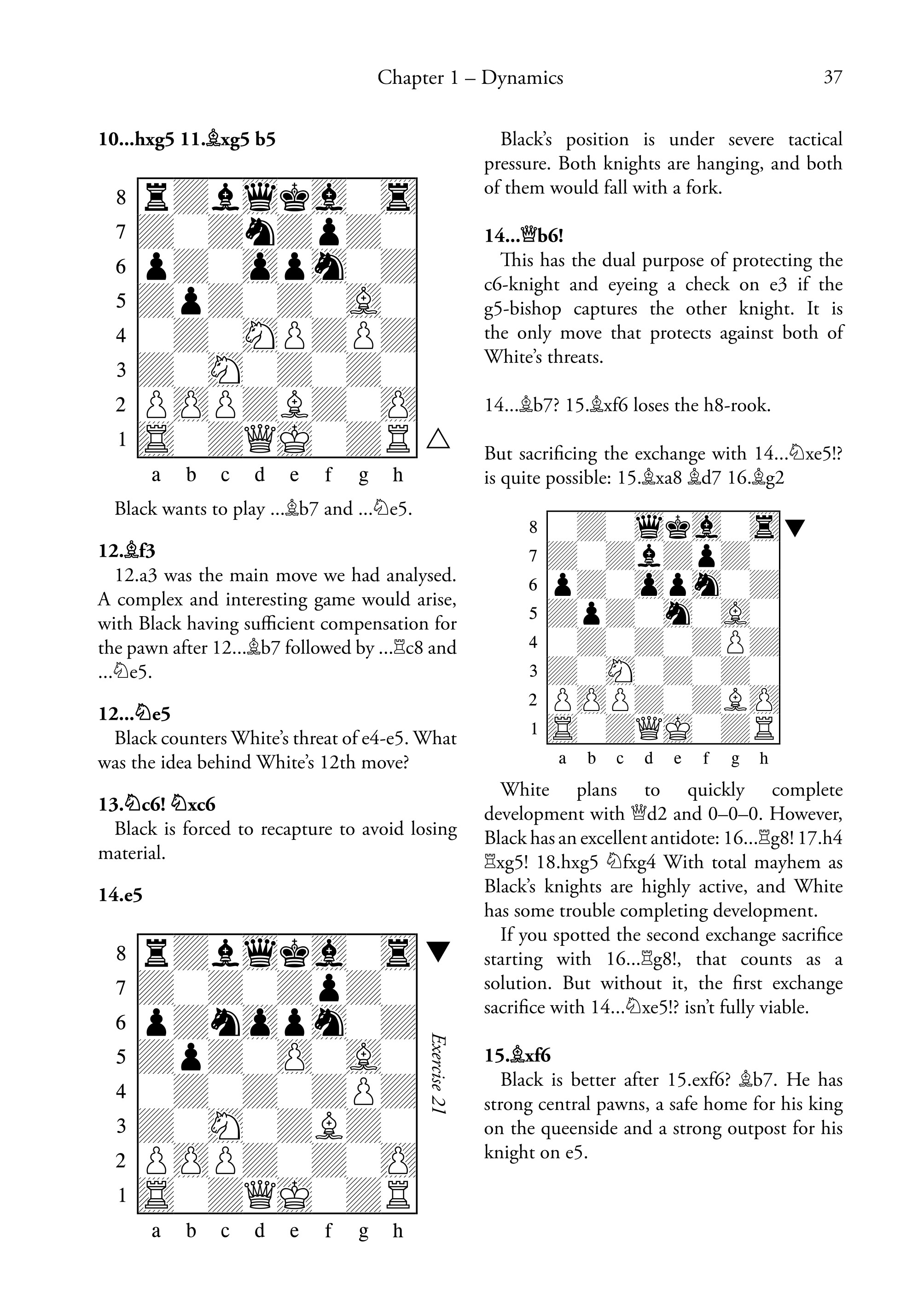
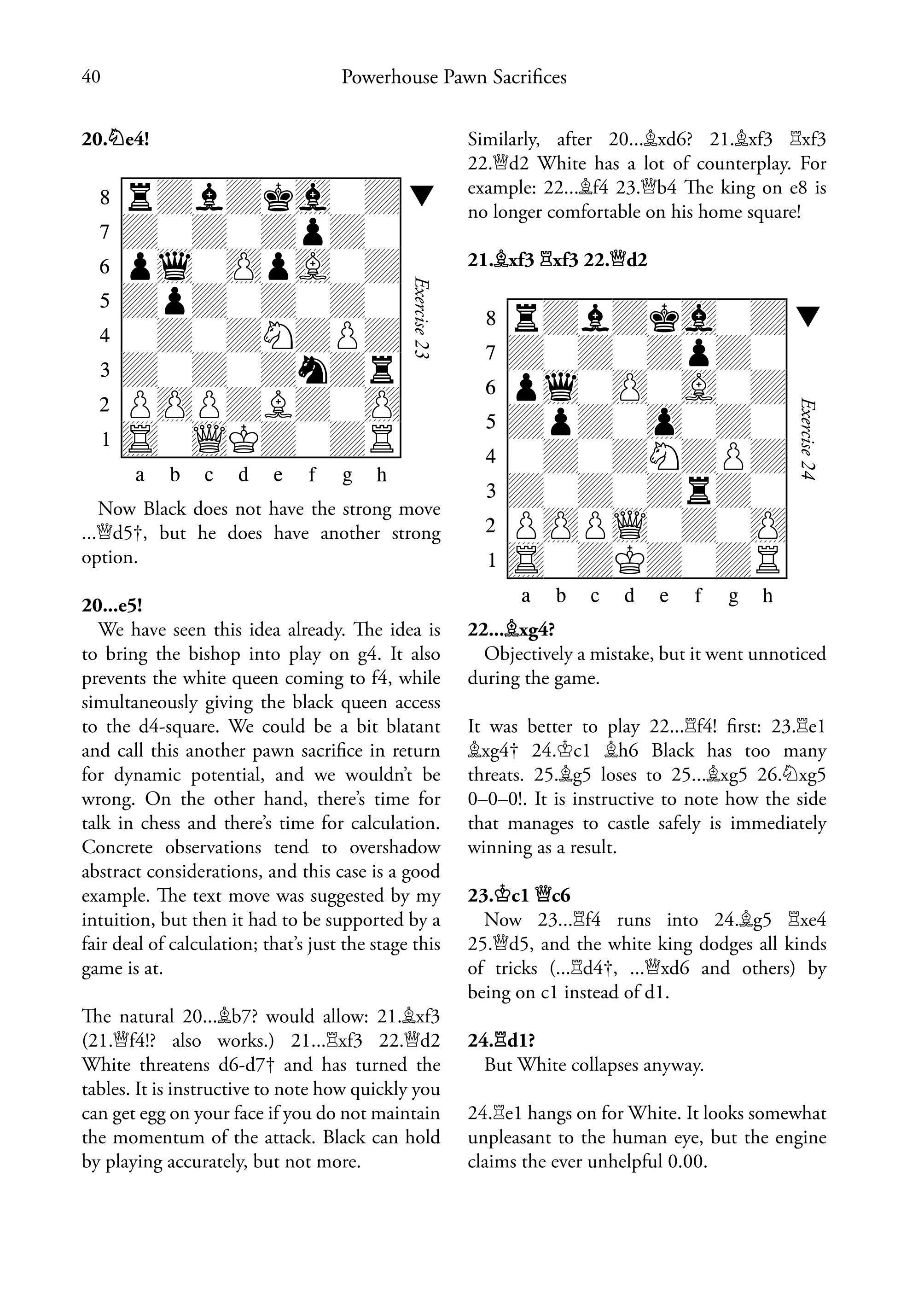
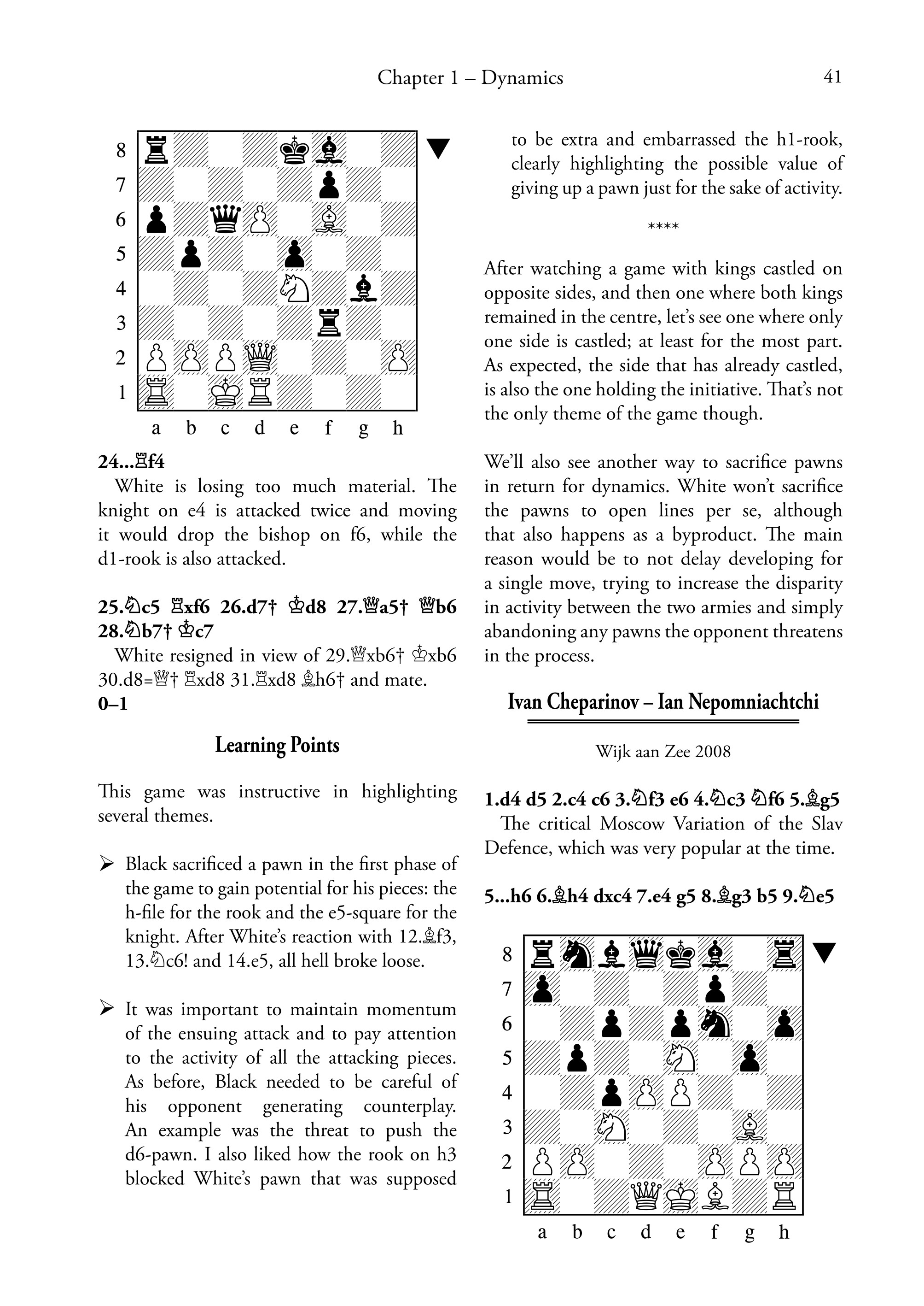
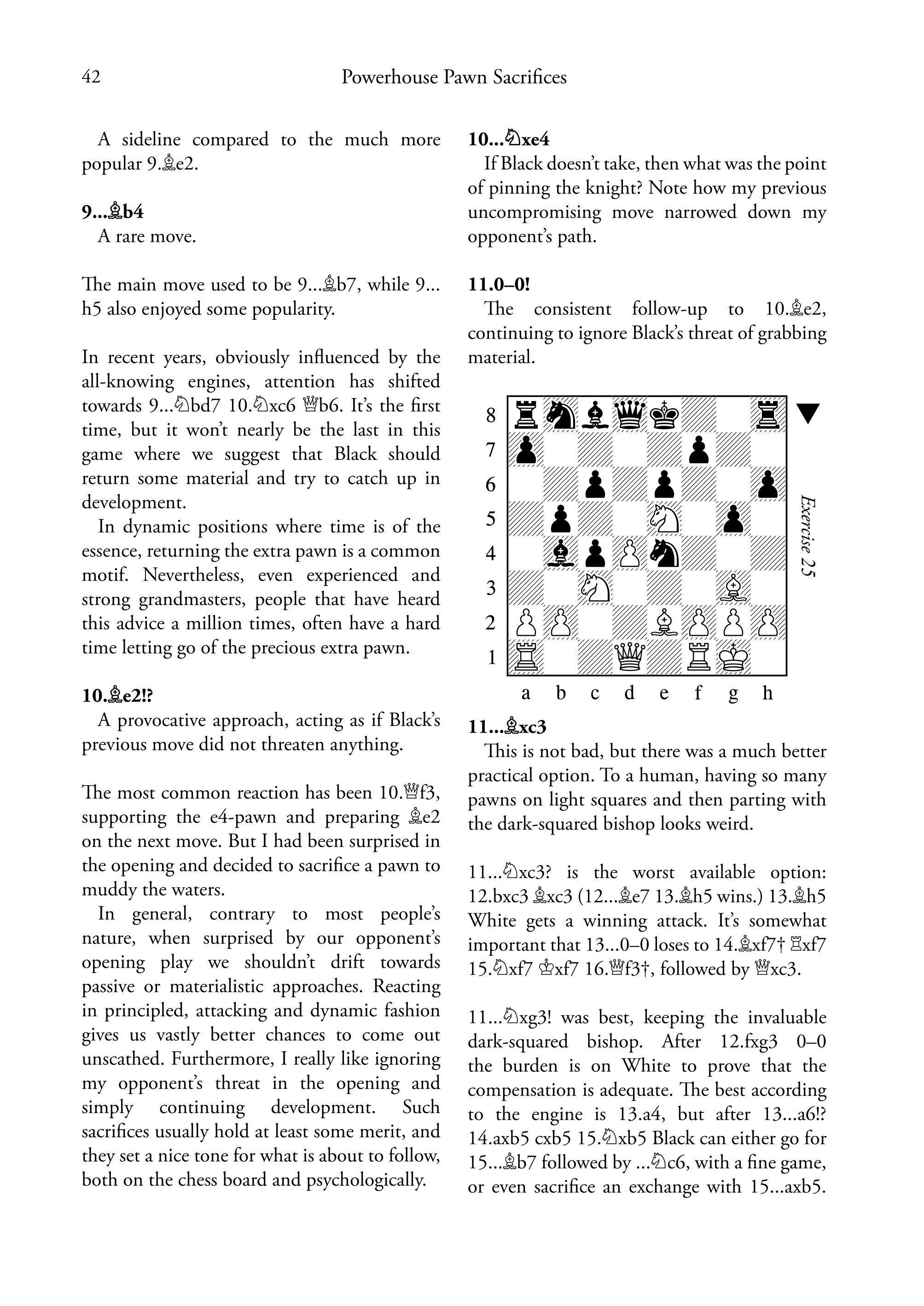
How to lose small and win big in Chess
A pawn is the smallest unit of material in chess, but a well-executed pawn sacrifice can yield huge rewards. Still, many players shy away from such possibilities when they are uncertain of the consequences.
Powerhouse Pawn Sacrifices contains everything you need to master this crucial area of chess. In addition to covering dynamic and long-term sacrifices, Grandmaster Ivan Cheparinov also discusses pawn sacrifices arising in specific opening variations, connecting the different phases of the game, while sharing valuable insights that will be transferable to other scenarios.
Nikt jeszcze nie napisał recenzji do tego produktu. Bądź pierwszy i napisz recenzję.
Tylko zarejestrowani klienci mogą pisać recenzje do produktów. Jeżeli posiadasz konto w naszym sklepie zaloguj się na nie, jeżeli nie załóż bezpłatne konto i napisz recenzję.
Czas wysyłki:Natychmiast
Koszt wysyłki:od 10,00 zł
Numer katalogowy:9781784832209
Kod EAN:9781784832209
Waga:0,41 kg
6 osób kupiło 6 produktów

Szachy od wieków fascynują ludzi na całym świecie. Choć wielu osobom wydaje się, że to gra tylko dla mistrzów i geniuszy, prawda jest zupełnie inna. Każdy może nauczyć się grać w szachy, a pierwsze kroki są znacznie prostsze, niż się wydaje. ♟️
Jak przygotować się do turnieju szachowego?♟️ Kulisy gry, której nie widać na szachownicy ✨
Udział w turniejach szachowych to nie tylko sprawdzian umiejętności, ale i prawdziwa przygoda – emocjonalna, intelektualna i organizacyjna. Jeśli planujesz zadebiutować lub wracasz na szachowe areny, warto wiedzieć, jak się przygotować i co naprawdę dzieje się za kulisami takich wydarzeń.
