








This book is part of a new series from Quality Chess examining the cutting
edge of opening theory. The idea is to identify the most important
theoretical battlegrounds and then analyse as deeply as possible in search of
improvements. Thus the reader will be ahead of the current state-of-the-art,
rather than lagging behind trying to memorize old games.
The Cutting Edge 2 considers the Sicilian Najdorf – a favourite opening of
ambitious players at every level. This book concentrates on lines where White
chooses 6.Be3, heading for the English Attack. The variations covered are:
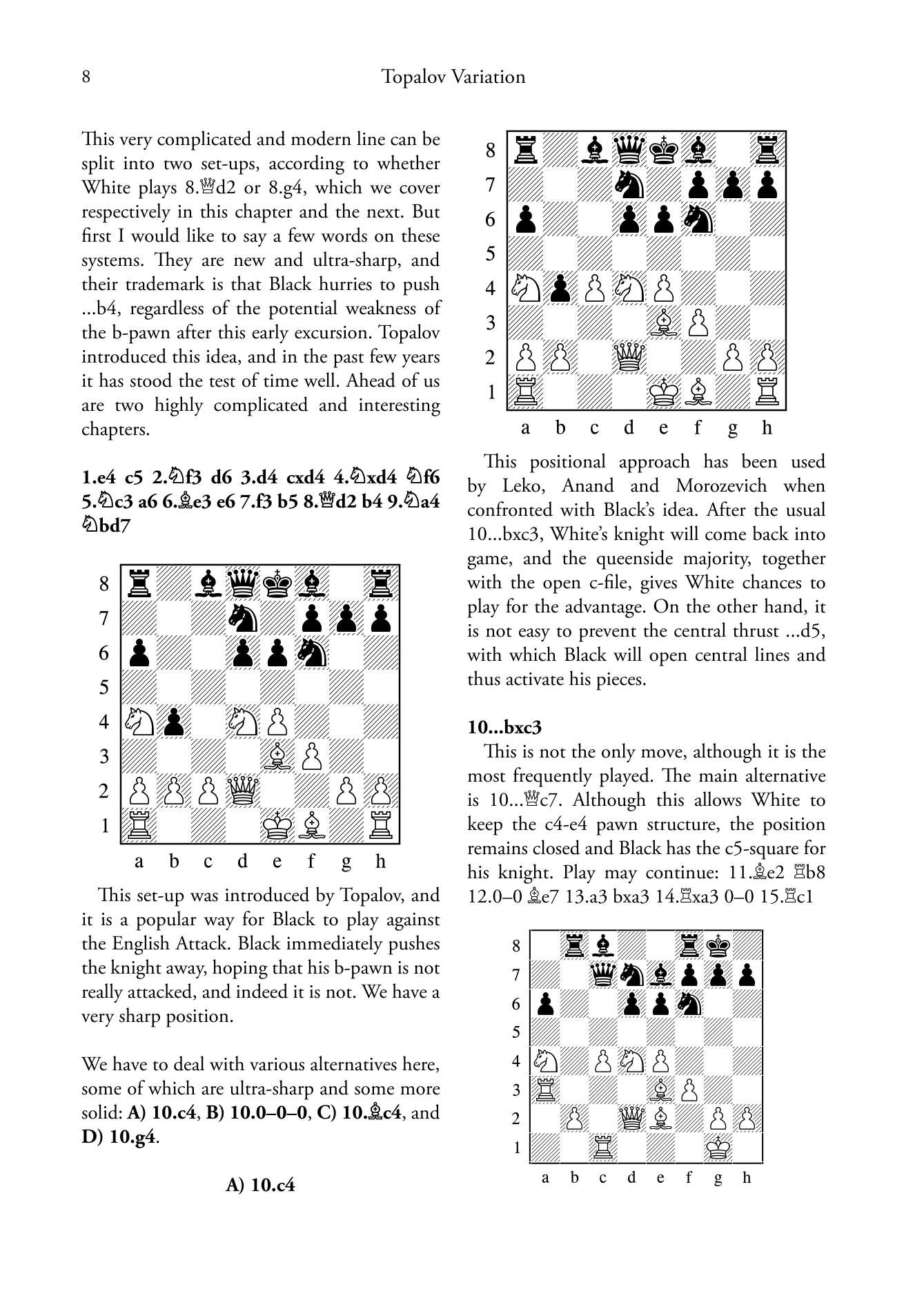
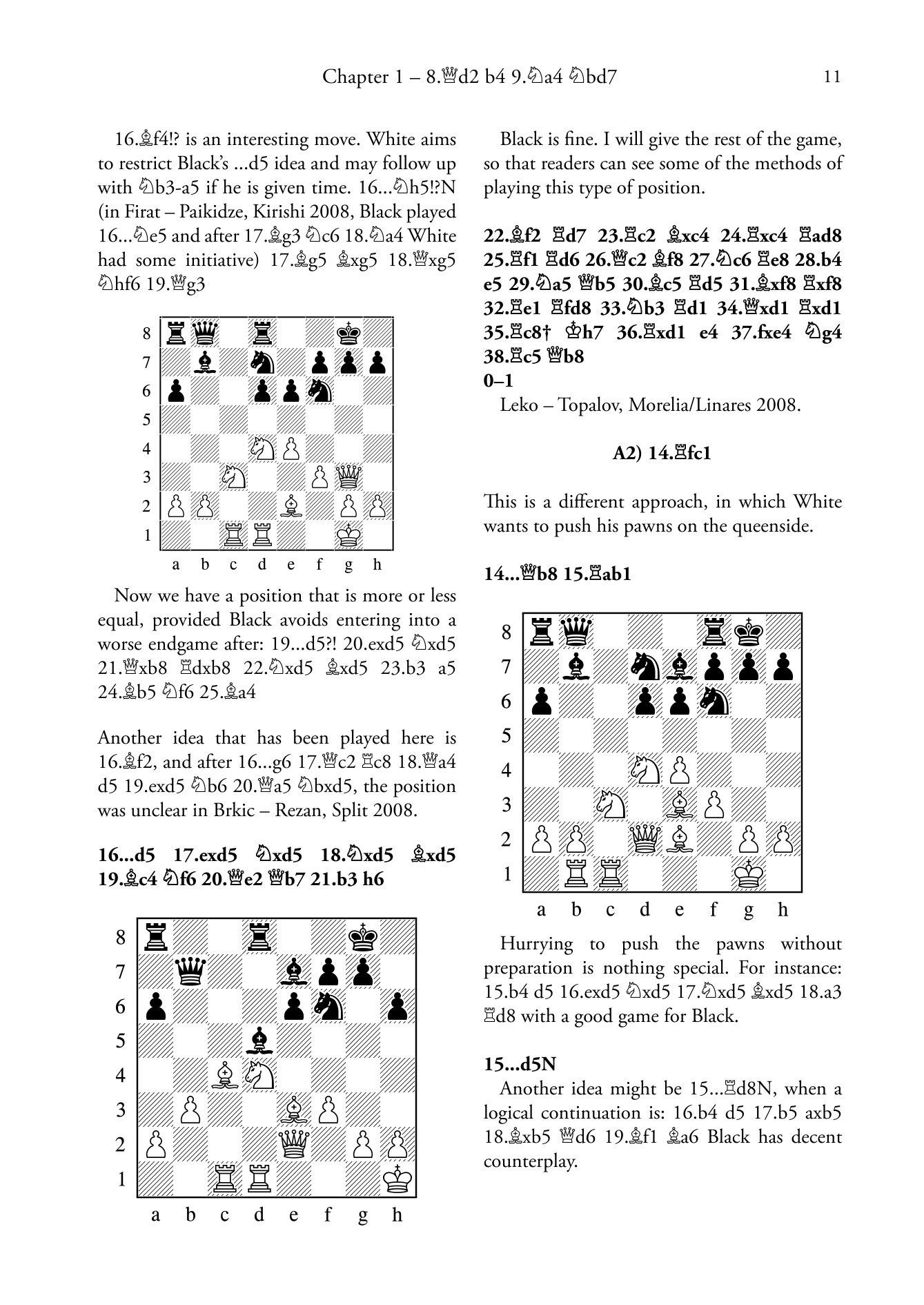
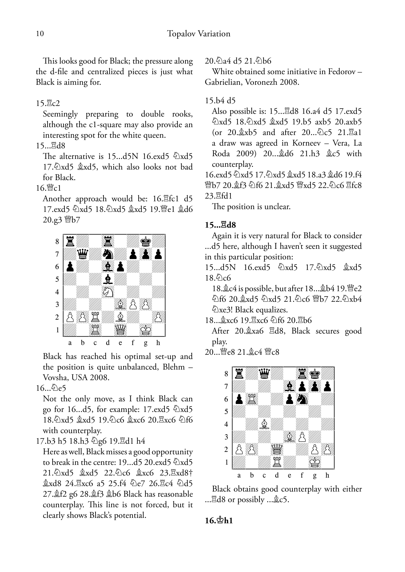
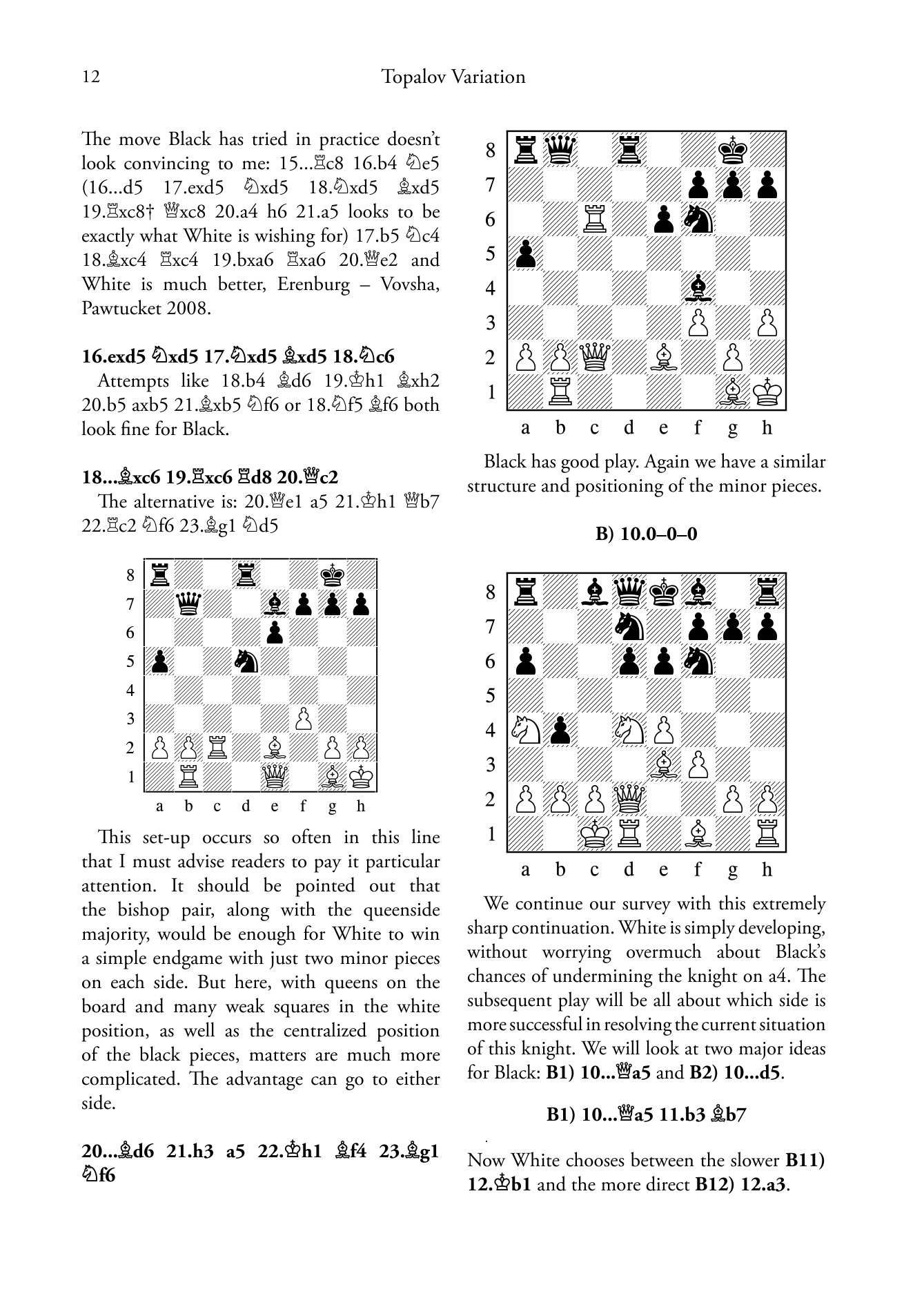
• Topalov: 6...e6 7.f3 b5 8.Qd2 b4 9.Na4 Nbd7
• Topalov: 6...e6 7.f3 b5 8.g4 h6 9.Qd2 b4 10.Nce2 e5
• Perenyi Attack: 6...e6 7.g4 e5 8.Nf5
• Perenyi Attack: 6...e6 7.g4 h6 8.Bg2
• Perenyi Attack: 6...e6 7.g4 h5 8.g5 Ng4 9.Bc1 Qb6 10.h3 Ne5 11.Nb3
• Main line: 6...e6 7.f3 b5 8.g4 h6 9.£d2 Nbd7 10.0–0–0 Bb7 11.h4 b4 12.Na4 Qa5 13.b3 Nc5 14.a3
• Main line: 6...e6 7.f3 Nbd7 8.£d2 b5 9.g4 Nb6 10.a4
• Scheveningen: 5...Nc6 6.Be3 e6 7.Qd2 Be7 8.0–0–0 0–0 9.f3 d5 10.Be2!?
• 6...e5: Positional line: 7.Nf3
• 6...e5: Vallejo Pons variation: 7.Nb3 Be6 8.f3 Be7 9.Qd2 0–0 10.0–0–0 Nbd7 11.g4 b5 12.g5 b4 13.Ne2 Ne8 14.f4 a5 15.f5
• 6...e5: line with 10...a5: 7.Nb3 Be7 8.f3 Be6 9.Qd2 0–0 10.0–0–0 a5
• 6...e5: Topalov variation: 7.Nb3 Be6 8.f3 Nbd7 9.Qd2 h5
• 6...e5: f2-f4 lines
The Najdorf with 6.Bg5 will be covered at a later stage in The Cutting Edge: Sicilian
Najdorf 6.Bg5.
Milos Pavlovic is a highly experienced Serbian grandmaster and former Yugoslav Champion, whose analysis is regularly featured in New in Chess and Chess Informant.
Nikt jeszcze nie napisał recenzji do tego produktu. Bądź pierwszy i napisz recenzję.
Tylko zarejestrowani klienci mogą pisać recenzje do produktów. Jeżeli posiadasz konto w naszym sklepie zaloguj się na nie, jeżeli nie załóż bezpłatne konto i napisz recenzję.
Czas wysyłki:Natychmiast
Koszt wysyłki:od 10,00 zł
Numer katalogowy:9781906552930
Kod EAN:9781906552930
Waga:0,52 kg
Producent:Wydawnictwo Quality Chess
2 osoby kupiły 2 produkty

Szachy od wieków fascynują ludzi na całym świecie. Choć wielu osobom wydaje się, że to gra tylko dla mistrzów i geniuszy, prawda jest zupełnie inna. Każdy może nauczyć się grać w szachy, a pierwsze kroki są znacznie prostsze, niż się wydaje. ♟️
Jak przygotować się do turnieju szachowego?♟️ Kulisy gry, której nie widać na szachownicy ✨
Udział w turniejach szachowych to nie tylko sprawdzian umiejętności, ale i prawdziwa przygoda – emocjonalna, intelektualna i organizacyjna. Jeśli planujesz zadebiutować lub wracasz na szachowe areny, warto wiedzieć, jak się przygotować i co naprawdę dzieje się za kulisami takich wydarzeń.
