










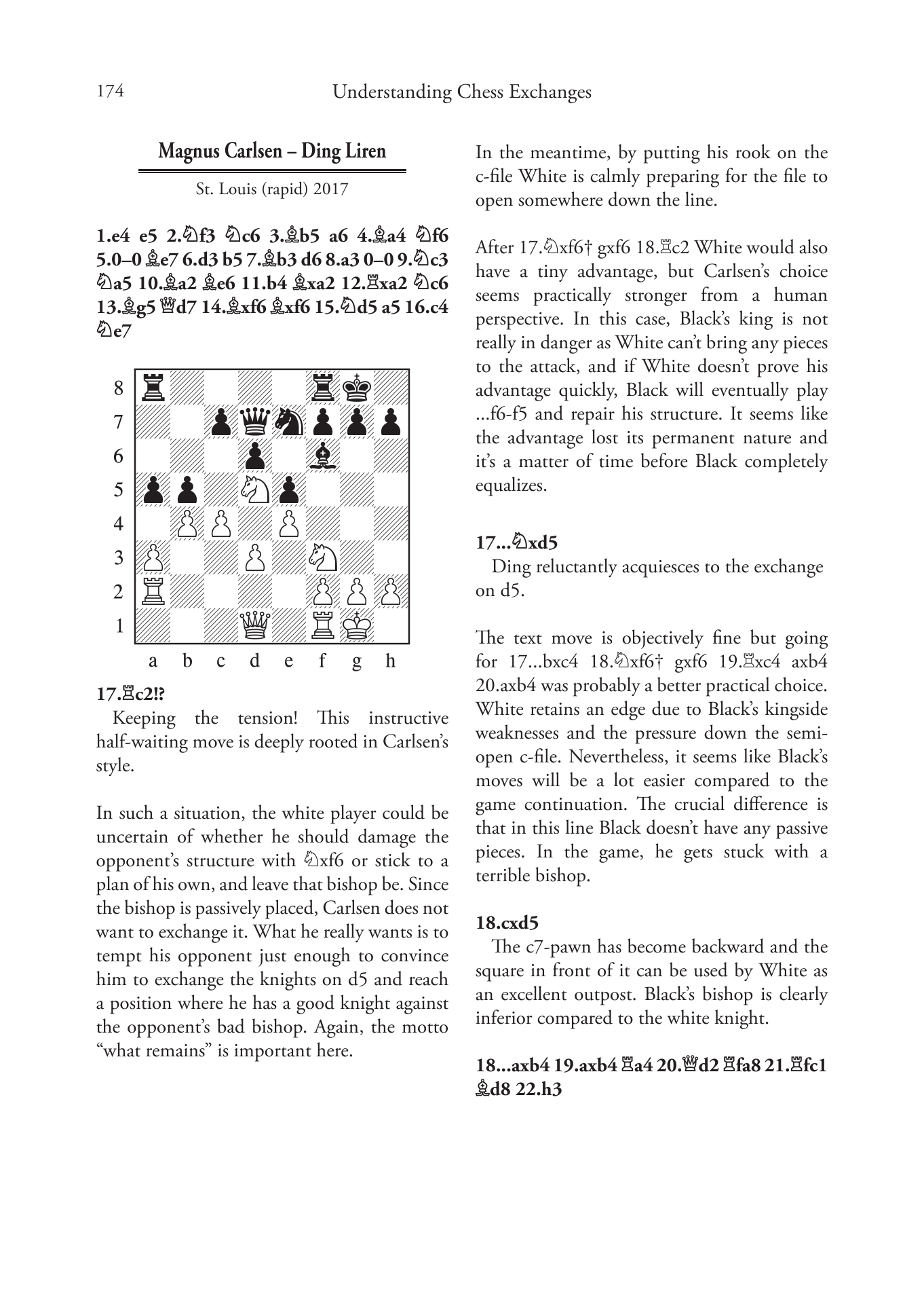
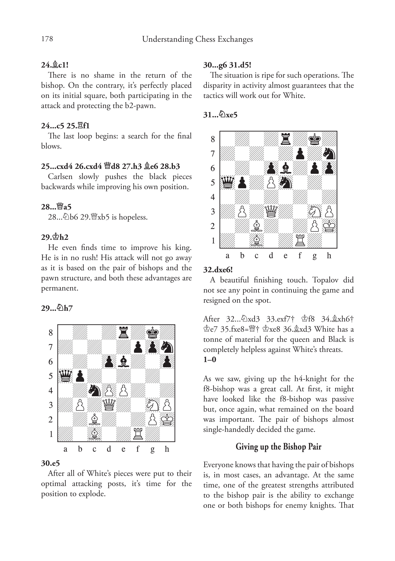
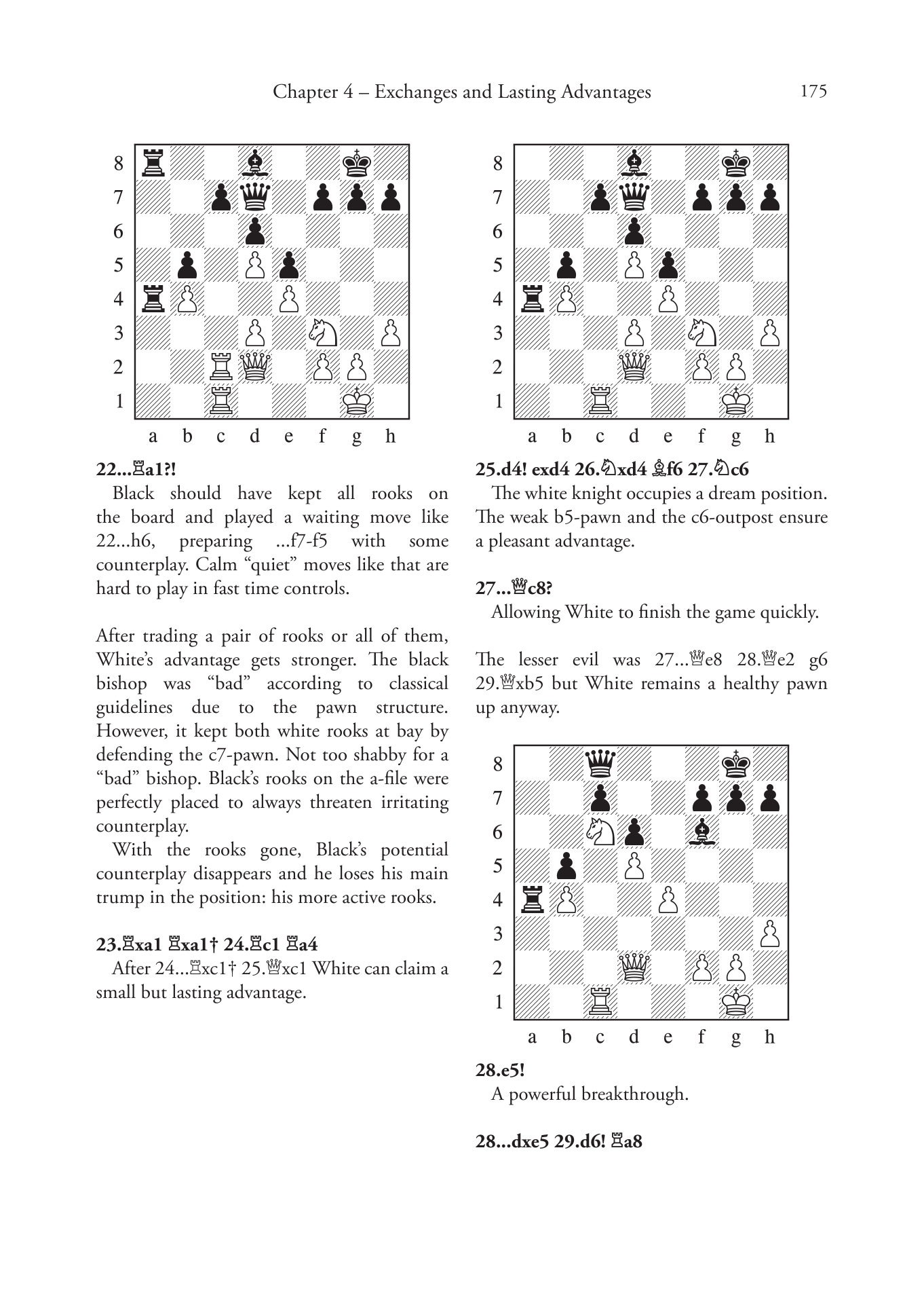
Have you ever wondered how chess grandmasters always seem to know which pieces need to be exchanged? Or how an attack is influenced by the number of pieces on the board? When should we keep the queens on, and when should we switch to an endgame?
Understanding Chess Exchanges shares expert insights into using exchanges as a strategic weapon. Your newfound knowledge will then be tested using exercises taken from elite modern practice. With a particular focus on Magnus Carlsen – the master of exchanges – this book reveals the principles behind a vital part of chess strategy.
Chess mastery is the art of knowing when principles should be followed and when they must be broken. This book guarantees that you will not only become familiar with the typical guidelines, but also learn about their exceptions. Filled with tips, principles and practical advice, Understanding Chess Exchanges is an invaluable asset to a chess player’s arsenal!
Nikt jeszcze nie napisał recenzji do tego produktu. Bądź pierwszy i napisz recenzję.
Tylko zarejestrowani klienci mogą pisać recenzje do produktów. Jeżeli posiadasz konto w naszym sklepie zaloguj się na nie, jeżeli nie załóż bezpłatne konto i napisz recenzję.
Czas wysyłki:Natychmiast
Koszt wysyłki:od 10,00 zł
Numer katalogowy:9781784831998
Kod EAN:9781784831998
Waga:0,85 kg
Producent:Wydawnictwo Quality Chess
2 osoby kupiły 2 produkty

Szachy od wieków fascynują ludzi na całym świecie. Choć wielu osobom wydaje się, że to gra tylko dla mistrzów i geniuszy, prawda jest zupełnie inna. Każdy może nauczyć się grać w szachy, a pierwsze kroki są znacznie prostsze, niż się wydaje. ♟️
Jak przygotować się do turnieju szachowego?♟️ Kulisy gry, której nie widać na szachownicy ✨
Udział w turniejach szachowych to nie tylko sprawdzian umiejętności, ale i prawdziwa przygoda – emocjonalna, intelektualna i organizacyjna. Jeśli planujesz zadebiutować lub wracasz na szachowe areny, warto wiedzieć, jak się przygotować i co naprawdę dzieje się za kulisami takich wydarzeń.
