










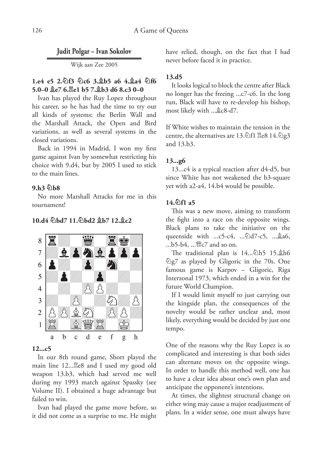
Książka wydana w języku angielskim i niemieckim. Twarda okładka.
A Game of Queens completes the trilogy in which one of the greatest players of our time transforms her personal journey to the top into a roadmap for everyone who ever wanted to better themselves in the game of chess. This volume covers the period from 2001 until the present day. These were the years when Judit was in the Top Ten in the world, and facing the likes of Kasparov, Karpov, Korchnoi and Anand.
Judit Polgar has been ranked 1st on the Women’s rating list from 1989 to the present day. In 2005 she became the only woman in chess history to participate in the World Championship final.
The first volume How I Beat Fischer’s Record won the 2013 ECF Book of the Year prize and the second volume From GM to Top Ten was the ACP Book of the Year for 2014.
ISBN: 978-1-907982-52-1 - 392 pages - Published 5 November 2014
Judit Polgar trilogy Special Offer
Reviews
"What makes this series special is Polgar's annotations which are accessible to a wide range of playing strengths. She achieves this by including not only concrete variations as needed, but also a great deal of explanatory prose which is not only instructive but also entertaining.
It's rare to find a chess book, let alone a series, that will appeal to such a wide range of players. Some will like it for the annotated games, others for the stories, observations and photos. Most will like everything about this book and series about one of the greatest players and ambassadors the game of chess has ever known."
IM John Donaldson
"How I Beat Fischer’s Record won the 2013 ECF Book of the Year prize, and From GM to Top Ten was the ACP Book of the Year for 2014. A Game of Queens is sure to join these as an award winner as well...
A Game of Queens is more forthcoming than many other chess biographies, and therefore more interesting as well. Along with deep analysis of great games, Polgar shares her thoughts, opinions, and feelings on a wide variety of topics. There are many photographs throughout the book, too, not just the obligatory across-the-board, facing-the-opponent pictures, but private shots that allow the reader to feel as if they have gotten to know her on a personal level.
My assessment of this product: 6/6"
Brian Almeida, ChessCafe (full review)
"This nearly 400-page book is full of brilliant games annotated by Judit, but also with anecdotes and photos. The book is not only enjoyable, but the amateur chess player can really learn a lot from it."
Bab Wilders, Nederlands Dagblad
Nikt jeszcze nie napisał recenzji do tego produktu. Bądź pierwszy i napisz recenzję.
Tylko zarejestrowani klienci mogą pisać recenzje do produktów. Jeżeli posiadasz konto w naszym sklepie zaloguj się na nie, jeżeli nie załóż bezpłatne konto i napisz recenzję.
Czas wysyłki:Jeszcze dziś !
Koszt wysyłki:od 10,00 zł
Numer katalogowy:9781907982521
Kod EAN:9781907982521
Waga:0,90 kg
Producent:Wydawnictwo Quality Chess
8 osób kupiło 8 produktów

Szachy od wieków fascynują ludzi na całym świecie. Choć wielu osobom wydaje się, że to gra tylko dla mistrzów i geniuszy, prawda jest zupełnie inna. Każdy może nauczyć się grać w szachy, a pierwsze kroki są znacznie prostsze, niż się wydaje. ♟️
Jak przygotować się do turnieju szachowego?♟️ Kulisy gry, której nie widać na szachownicy ✨
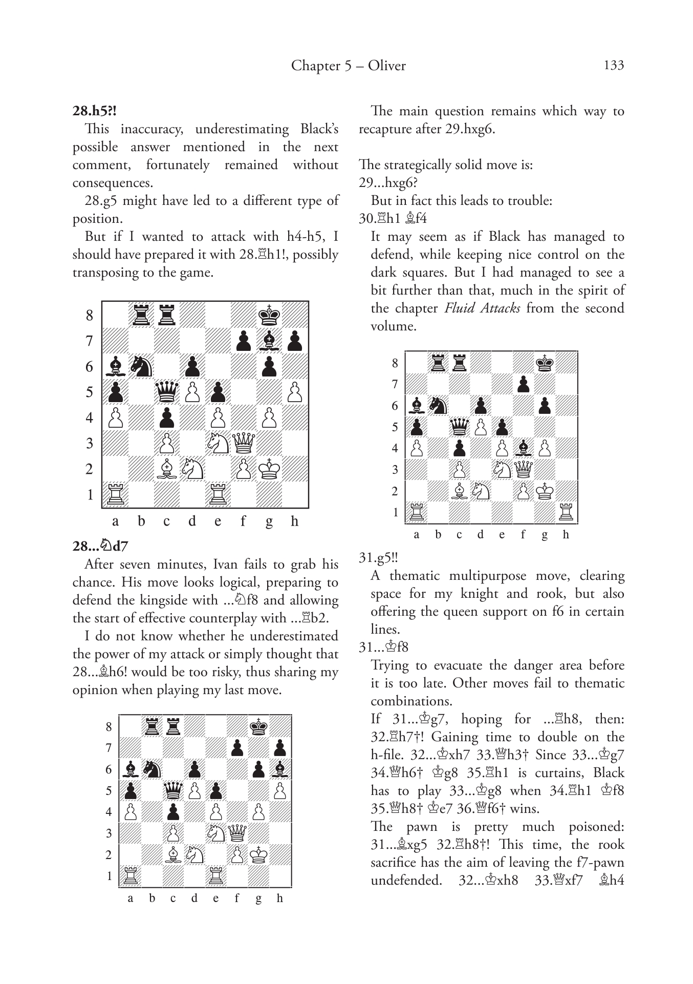
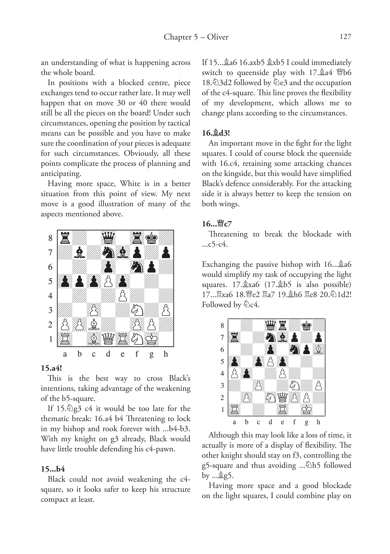
Udział w turniejach szachowych to nie tylko sprawdzian umiejętności, ale i prawdziwa przygoda – emocjonalna, intelektualna i organizacyjna. Jeśli planujesz zadebiutować lub wracasz na szachowe areny, warto wiedzieć, jak się przygotować i co naprawdę dzieje się za kulisami takich wydarzeń.
