










Chess Evolution 3 completes Artur Yusupov's course of chess improvement. The Fundamentals series showed players the basic ideas they should know. The Beyond the Basics series set off on the road to mastery, and now in the Mastery series we have arrived at our final destination. Yusupov guides the reader using carefully selected positions and advice. This new understanding is then tested by a series of puzzles.
Follow this link for more detailed information on Yusupov's award-winning training course.
Artur Yusupov was ranked No. 3 in the world from 1986 to 1992, just behind the legendary Karpov and Kasparov. He has won everything there is to win in chess except for the World Championship. In recent years he has mainly worked as a chess trainer with players ranging from current World Champion Anand to local amateurs in Germany, where he resides.
ISBN: 978-1-906552-47-3 - 320 pages - Published 31 January 2013
Nikt jeszcze nie napisał recenzji do tego produktu. Bądź pierwszy i napisz recenzję.
Tylko zarejestrowani klienci mogą pisać recenzje do produktów. Jeżeli posiadasz konto w naszym sklepie zaloguj się na nie, jeżeli nie załóż bezpłatne konto i napisz recenzję.
Czas wysyłki:Jeszcze dziś !
Koszt wysyłki:od 10,00 zł
Numer katalogowy:9781906552473
Kod EAN:9781906552473
Waga:0,50 kg
Producent:Wydawnictwo Quality Chess
6 osób kupiło 6 produktów

Szachy od wieków fascynują ludzi na całym świecie. Choć wielu osobom wydaje się, że to gra tylko dla mistrzów i geniuszy, prawda jest zupełnie inna. Każdy może nauczyć się grać w szachy, a pierwsze kroki są znacznie prostsze, niż się wydaje. ♟️
Jak przygotować się do turnieju szachowego?♟️ Kulisy gry, której nie widać na szachownicy ✨
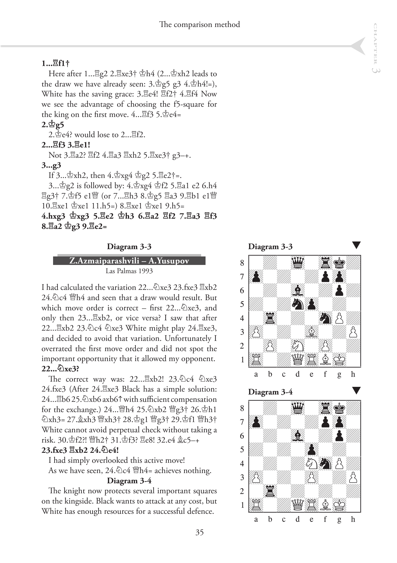
Udział w turniejach szachowych to nie tylko sprawdzian umiejętności, ale i prawdziwa przygoda – emocjonalna, intelektualna i organizacyjna. Jeśli planujesz zadebiutować lub wracasz na szachowe areny, warto wiedzieć, jak się przygotować i co naprawdę dzieje się za kulisami takich wydarzeń.
