


















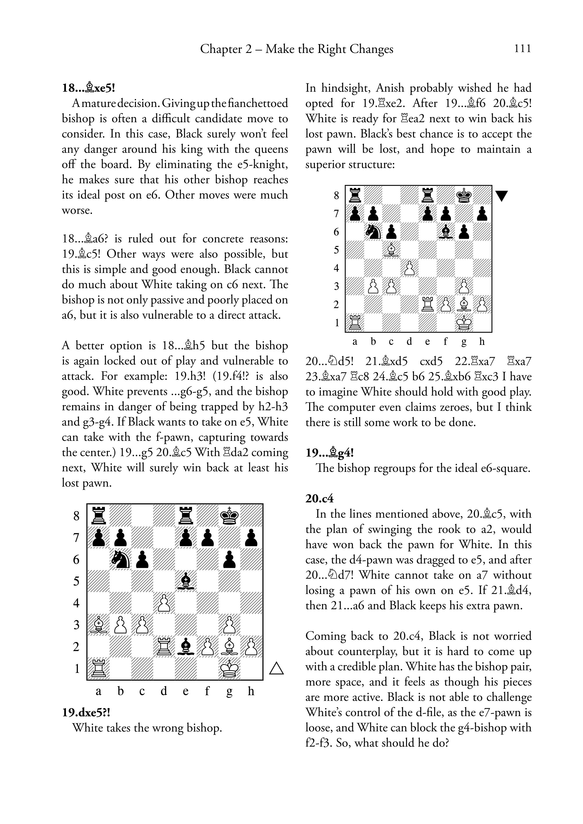
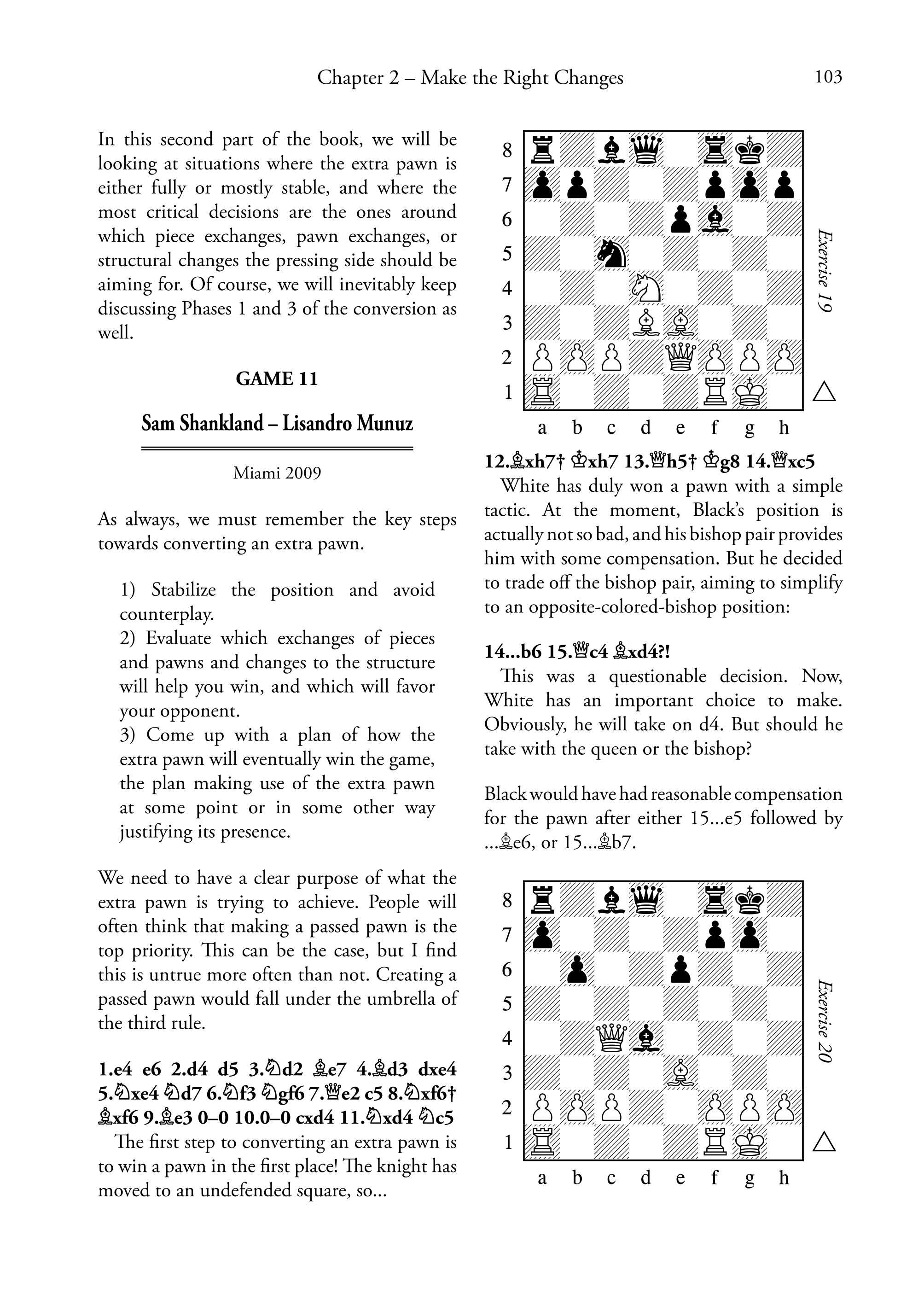
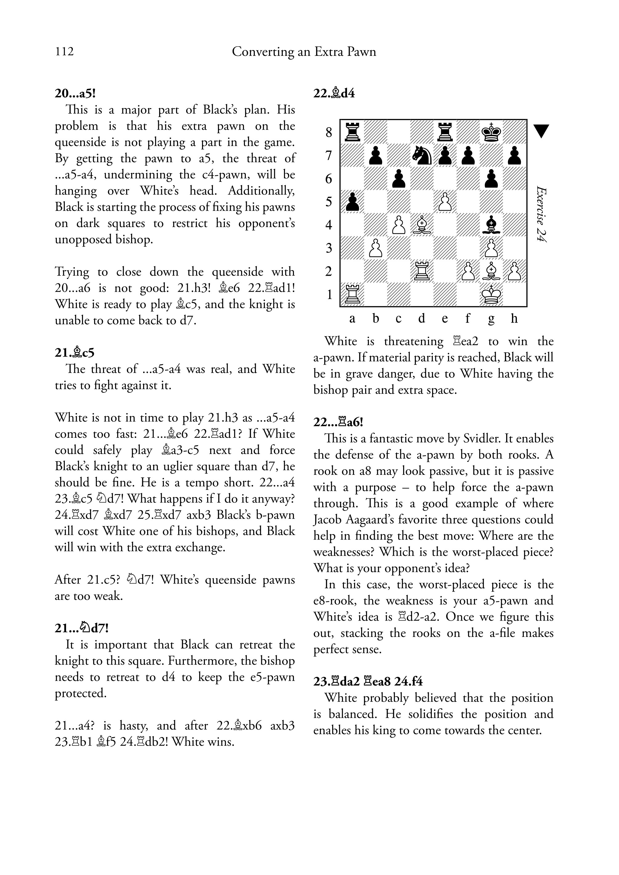
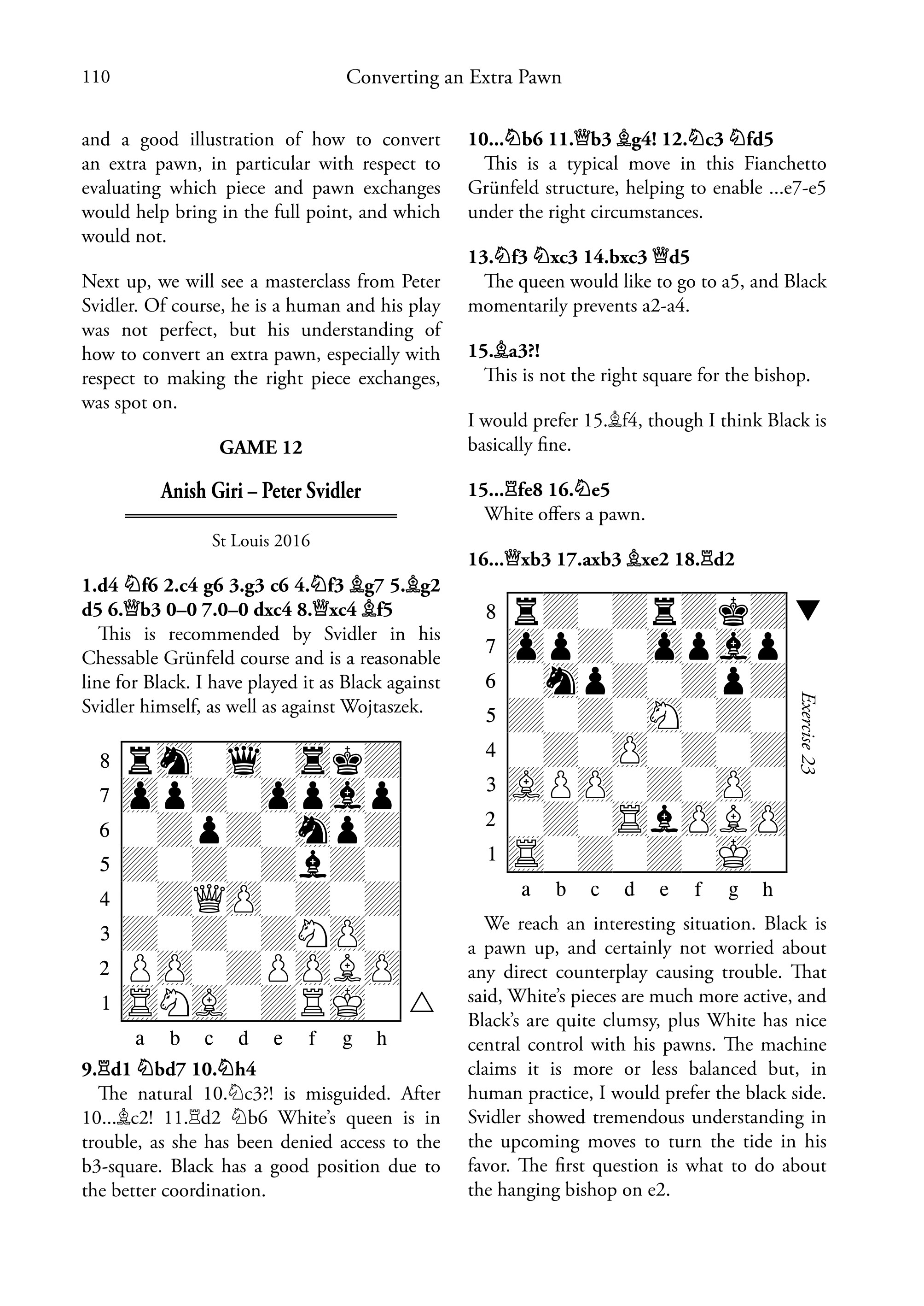
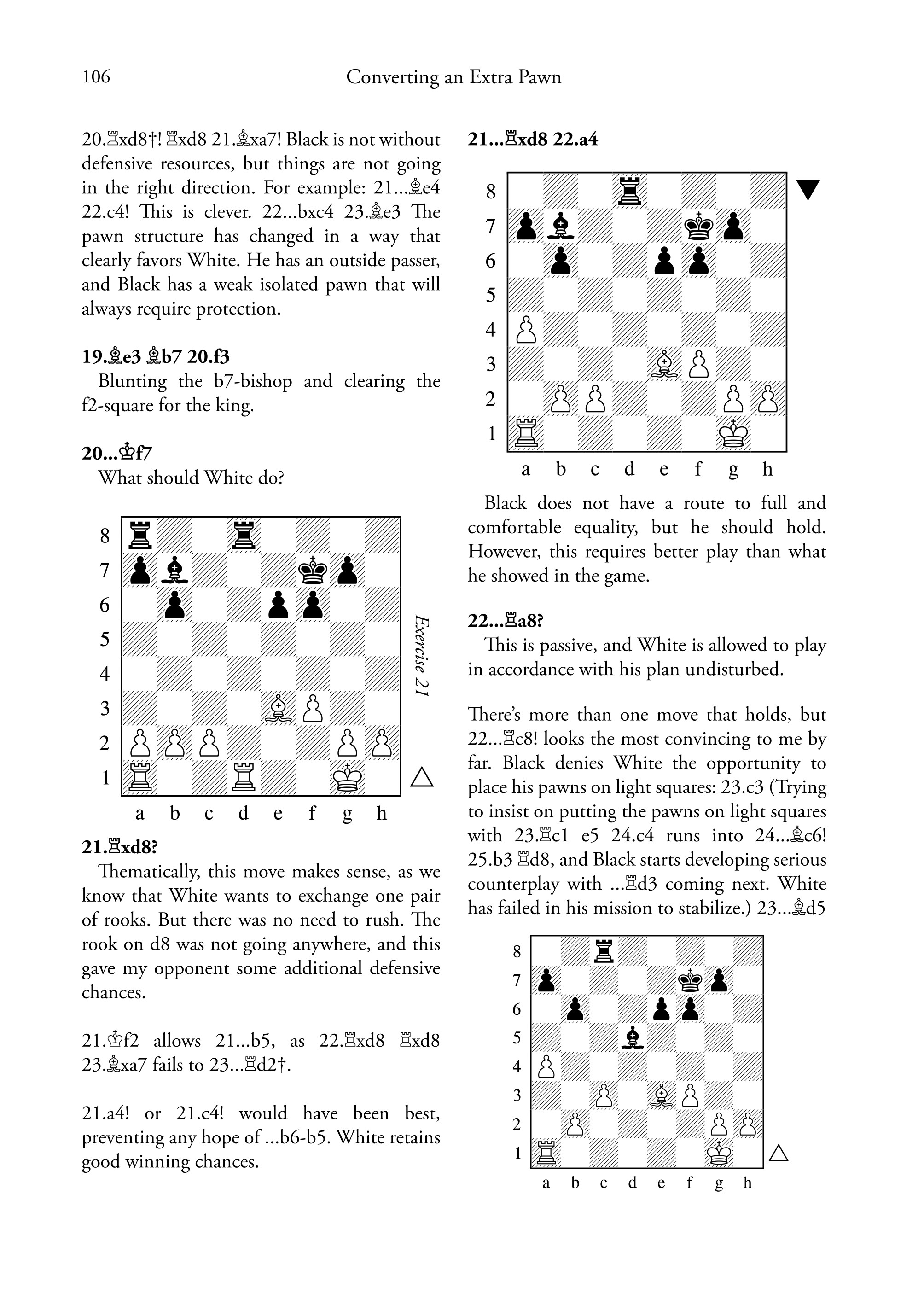
Winning a pawn is a common occurrence in chess, but many players have no idea what to do with an extra pawn, aside from the vague notion of “exchange pieces and win the endgame”. Grandmaster Sam Shankland knows better – and after reading this book, you will too.
In this groundbreaking work, Shankland shares his three-step process for handling positions with an extra pawn, providing exercises to train the reader’s ability, along with carefully annotated examples to illustrate the key themes. Converting an Extra Pawn in Chess contains everything you need to master the skill of winning with the most common type of material advantage in chess.
Nikt jeszcze nie napisał recenzji do tego produktu. Bądź pierwszy i napisz recenzję.
Tylko zarejestrowani klienci mogą pisać recenzje do produktów. Jeżeli posiadasz konto w naszym sklepie zaloguj się na nie, jeżeli nie załóż bezpłatne konto i napisz recenzję.
Czas wysyłki:Natychmiast
Koszt wysyłki:od 10,00 zł
Numer katalogowy:9781784832186
Kod EAN:9781784832186
Waga:0,51 kg
Producent:Wydawnictwo Quality Chess
15 osób kupiło 15 produktów

Szachy od wieków fascynują ludzi na całym świecie. Choć wielu osobom wydaje się, że to gra tylko dla mistrzów i geniuszy, prawda jest zupełnie inna. Każdy może nauczyć się grać w szachy, a pierwsze kroki są znacznie prostsze, niż się wydaje. ♟️
Jak przygotować się do turnieju szachowego?♟️ Kulisy gry, której nie widać na szachownicy ✨
Udział w turniejach szachowych to nie tylko sprawdzian umiejętności, ale i prawdziwa przygoda – emocjonalna, intelektualna i organizacyjna. Jeśli planujesz zadebiutować lub wracasz na szachowe areny, warto wiedzieć, jak się przygotować i co naprawdę dzieje się za kulisami takich wydarzeń.
